ГОССТРОЙ СССР СТРОИТЕЛЬНЫЕ НОРМЫ И ПРАВИЛА Защитные сооружения гражданской обороны СНиП II-II-77* Утверждены постановлением Госстроя СССР от 13 октября 1977 г. № 158 ЦЕНТРАЛЬНЫЙ ИНСТИТУТ ТИПОВОГО ПРОЕКТИРОВАНИЯ Глава СНиП II-11-77* является переизданием главы СНиП II-11-77 "Защитные сооружения гражданской обороны" с изменениями и дополнениями, утвержденными постановлениями Госстроя СССР от 14 июля 1980 г. № 103, от 4 сентябри 1981 г. № 161 и от 28 июня 1985 г. № 109. Разработана институтами ЦНИИпромзданий и Сантехпроект Госстроя СССР с участием учреждений Министерства обороны. НИИЖБ, ПИ № 1 Госстроя СССР, Моспромпроекта (мастерская № 6). ГлавАПУ г. Москвы, СоюзморНИИпроекта Минморфлота и МИСИ им. В. В. Куйбышева Минвуза СССР.
Глава СНиП II-11-77* согласована с Министерством обороны (начальником гражданской обороны СССР), Минздравом СССР, ГУПО МВД СССР и Госгортехнадзором СССР. С введением в действие настоящей главы утрачивают силу: "Указании по проектированию убежищ гражданской обороны" (СН 405-70); изменения и дополнения "Указаний по проектированию убежищ гражданской обороны" (СН 405-70); внесенные постановлениями Госстроя СССР от 6 декабря 1971 г. № 192, от 19 июня 1973 г. № 100, от 8 июля 1974 г. № 141 и от 15 октября 1974 г. № 210; "Указания по проектированию противорадиационных укрытий" (СН 427-71) ; изменения и дополнения "Указаний по проектированию противорадиационных укрытий" (СН 427-71), внесенные постановлениями Госстроя СССР от 29 декабря 1972 г. № 226 и от 14 сентября 1976 г. № 147; письмо Госстроя СССР и Штаба гражданской обороны СССР от 6 мая 1977 г. № НК-2198-1 "О применении электроручных вентиляторов при строительстве защитных сооружений". Разделы, пункты, таблицы и приложения, в которые внесены изменения и дополнения, отмечены в СНиП звездочкой.
Редакторы - канд. военных наук П.М.Кузьмин, инженеры Б.Н. Шевченко и К.М. Кузьмин (Госстрой СССР), инж. С.А. Лохов (ЦНИИпромзданий), инженеры Н.Н. Сидоров и Е.П. Пылаев (Сантехпроект), кандидаты техн. наук В.И. Морозов, А.А. Хомко. А.И. Костин и Л.И. Быковченко (Минобороны).
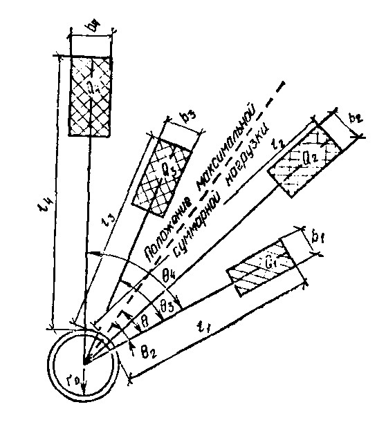
1. ОБЩИЕ ПОЛОЖЕНИЯ 1.1*. Настоящие нормы должны соблюдаться при проектировании вновь строящихся и реконструируемых защитных сооружений гражданской обороны (убежищ и противорадиационных укрытий), размещаемых в приспосабливаемых для этих целей помещениях производственных, вспомогательных, жилых и общественных зданий и других объектов народного хозяйства, а также отдельно стоящих убежищ в заглубленных или возвышающихся сооружениях. Защитные сооружения гражданской обороны предназначаются для защиты а военное время укрываемых от воздействия оружия массового поражения и должны использоваться в мирное время для нужд народного хозяйства и обслуживания населения. Убежища подразделяются на классы, а противорадиационные укрытия - на группы согласно прил. 1*1. При проектировании защитных сооружений гражданской обороны кроме требований настоящей главы следует учитывать требования действующего законодательства и соответствующих глав СНиП по проектированию зданий и сооружений, в помещениях которых размещаются защитные сооружения, а также требования других нормативных документов с учетом специфических условий строительства защитных сооружений, изложенных в настоящей главе СНиП. 1.2*. Убежища следует размещать в подвальных, цокольных и первых этажах зданий и сооружений. Размещение убежищ в первых этажах допускается с разрешения министерств и ведомств при соответствующем технико-экономическом обосновании. Строительство отдельно стоящих заглубленных или возвышающихся (с заглублением пола менее 1,5 м от планировочной отметки земли) убежищ допускается при невозможности устройства встроенных убежищ или при возведении объектов в сложных гидрогеологических условиях при соответствующем обосновании. Для размещения противорадиационных укрытий следует использовать помещения (согласно прил. 1*): производственных и вспомогательных зданий предприятий, лечебных учреждений и жилых зданий; школ, библиотек и зданий общественного назначения; кинотеатров. Домов культуры, клубов, пансионатов, пионерских лагерей, домов и баз отдыха; складов сезонного хранения топлива, овощей, продуктов и хозяйственного инвентаря. _______________ 1Рассылается министерствами и ведомствами.
1.3. При проектировании помещений, приспосабливаемых под защитные сооружения, следует предусматривать наиболее экономичные объемно-планировочные и конструктивные решения. Габариты помещений следует назначать минимальными, обеспечивающими соблюдение требований по эффективному использованию указанных помещений в мирное время для нужд народного хозяйства и защитных сооружений в военное время. Конструкции должны приниматься с учетом их эффективной и экономической целесообразности в условиях конкретной площадки строительства в порядке, предусмотренном техническими правилами по экономному расходованию основных строительных материалов. 1.4*. Состав помещений защитных сооружений, размещаемых в защищенной части здания или в отдельно стоящем заглубленном сооружении, должен быть определен с учетом эксплуатации их в мирное время, при этом площади указанных помещений, предназначенных для эксплуатации в мирное время, не должны превышать площадей, необходимых для защитных сооружений. В защитных сооружениях на каждые 500 укрываемых необходимо предусматривать один санитарный пост площадью 2 м2, но не менее одного поста на сооружение. В убежищах вместимостью 900 - 1200 чел. кроме санитарных постов следует предусматривать медицинский пункт площадью 9 м2 при этом на каждые 100 укрываемых сверх 1200 чел. площадь медпункта должна быть дополнительно увеличена на 1 м2. 1.5. Защитные сооружения, размещаемые в подвальных, цокольных и первых этажах и в отдельно стоящих сооружениях, следует использовать в мирное время под: санитарно-бытовые помещения (гардеробные домашней и уличной одежды с душевыми и умывальными); помещения культурного обслуживания (красные уголки, кабинеты политического просвещения) и учебных занятий; производственные помещения, отнесенные по пожарной опасности к категориям Г и Д, в которых осуществляются технологические процессы, не сопровождающиеся выделением вредных жидкостей, паров и газов, опасных для людей, и не требующие естественного освещения; технологические, транспортные и пешеходные тоннели; помещения дежурных электриков, связистов, ремонтных бригад; гаражи для легковых автомобилей, подземные стоянки автокаров и автомобилей; складские помещения для хранения несгораемых материалов, а также для сгораемых материалов и несгораемых материалов в сгораемой таре при наличии автоматической системы пожаротушения; помещения торговли и общественного питания (магазины, залы столовых, буфеты, кафе, закусочные); спортивные помещении (стрелковые тиры и залы для спортивных занятий); помещения бытового обслуживания населения (Дома быта, ателье, мастерские, приемные пункты, фотоателье, конторы и мастерские ЖЭК); вспомогательные (подсобные) помещения лечебных учреждений (кроме бальнеологических). Возможность использования в мирное время защищенных сооружений по другому назначению допускается по согласованию с местными органами Минздрава СССР, ГУПО МВД СССР и Штаба гражданской обороны. 1.6*. Складские помещения, приспосабливаемые под защитные сооружения, должны оборудоваться транспортными устройствами для загрузки, складирования и выгрузки материалов. При строительстве защитных сооружений в подвалах зданий или отдельно стоящих заглубленных сооружениях, расположенных в северной строительно-климатической зоне, не рекомендуется размещать в них в мирное время производства с технологическими процессами, требующими больших расходов воды. 1.7. Перевод помещений, используемых в мирное время, на режим защитного сооружения следует предусматривать в сроки, указанные в прил. 1*. 1.8. Вместимость защитных сооружений определяется суммой мест для сидения (на правом ярусе) и лежания (на втором и третьем ярусах) и принимается, как правило, для убежищ не менее 150 чел. Проектирование убежищ меньшей вместимости допускается в исключительных случаях с разрешения министерств и ведомств при соответствующем обосновании. Вместимость противорадиационных укрытий следует предусматривать: а) 5 чел. и более в зависимости от площади помещений укрытий, оборудуемых в существующих зданиях или сооружениях; б) 50 чел. и более во вновь строящихся зданиях и сооружениях с укрытиями. Вместимость убежищ для нетранспортабельных больных и противорадиационных укрытий для учреждений здравоохранения определяется по прил. 2*. При этом вместимость убежищ следует принимать не менее 80 чел. Для больниц на 500 мест и менее убежища для нетранспортабельных больных следует предусматривать на группу близлежащих больниц. 1.9. Задание на проектирование защитных сооружений является составной частью задания на проектирование новых и реконструкцию действующих предприятий, зданий и сооружений. Состав задания на проектирование, стадийность проектирования, разработка и оформление проектов защитных сооружений принимаются в соответствии с требованиями инструкций по разработке проектов и смет для промышленного и жилищно-гражданского строительства. В задании на проектирование защитных сооружений в дополнение к требованиям перечисленных инструкций следует указывать класс (группу) защитных сооружений, количество укрываемых мужчин и женщин, режимы вентиляции, назначение помещений в мирное время, технико-экономические показатели проекта. Рабочие проекты (проекты, рабочая документация) защитных сооружений входят в состав рабочих проектов (проектов, рабочей документации) предприятия, здания, сооружения и оформляются в виде самостоятельных разделов (частей, томов, альбомов и т. п.). 1.10*. При определении сметной стоимости строительства защитных сооружений в составе предприятия или объекта следует руководствоваться инструкциями по разработке проектов и смет, на основании которых составляется проектно-сметная документация на строительство основных объектов. Сметную стоимость встроенных в здания и сооружения защитных сооружений следует определять по отдельным локальным сметам в соответствии с формами № 4 и 6 прил. 10 и 12 (при расчете на ЭВМ) или формами № 5 и 7 прил. 11 и 13 (при отсутствии расчета на ЭВМ) СП 202-81*, а затраты на строительство этих сооружений включать в объектные сметы зданий (сооружений). РАЗМЕЩЕНИЕ УБЕЖИЩ 1.11. Убежище следует располагать в местах наибольшего сосредоточения укрываемого персонала. Радиус сбора укрываемых следует принимать согласно прил. 1*. В тех случаях, когда за пределами радиуса сбора оказываются группы укрываемых, следует предусматривать укрытие их в близлежащее убежище, имеющем тамбур-шлюз во входе. Убежища при возможности следует размещать: встроенные - под зданиями наименьшей этажности из строящихся на данной площадке; отдельно стоящие - на расстоянии от зданий и сооружений, равном их высоте. 1.12*. Убежища следует проектировать, как правило, заглубленными в грунт. В маловлажных грунтах низ покрытия следует располагать не выше уровня планировочной отметки земли. При наличии грунтовых вод допускается размещать низ покрытия выше планировочной отметки земли с обвалованием выступающих стен и покрытий грунтом. При этом заглубление убежищ (уровень пола) следует предусматривать не менее 1,5 м от планировочной отметки земли. При наличии в местах размещения убежищ высокого уровня грунтовых вод или напорных грунтовых вод, обильного их притока, скальных пород основания или густой сети инженерных коммуникаций допускается при технико-экономическом обосновании, за исключением зон затопления, строительство отдельно стоящих возвышающихся убежищ. Эти убежища должны возводиться из монолитного или сборно-монолитного железобетона с увеличенным грунтовым обвалованием. Для заглубленной в грунт части убежищ следует предусматривать устройство гидроизоляции. Для убежищ, расположенных в водонасыщенных грунтах с коэффициентом фильтрации Кф до 3 м/сут, допускается устройство дренажа с окрасочной гидроизоляцией наружных поверхностей стен. Система дренажа выбирается в зависимости от характера защищаемого объекта и гидрогеологических условий. При этом сброс грунтовых вод должен быть самотечным, а при наличии в убежище дизельной электростанции (ДЭС) допускается устройство станции перекачки, размещаемой в убежище. Полы помещений убежищ, располагаемых в водонасыщенных грунтах, должны иметь уклон 1- 2% в сторону лотков, а последние - 2- 3% в сторону водосборника, из которого вода должна откачиваться насосом (в убежище без ДЭС - ручным насосом). 1.13*. Прокладка транзитных линий водопровода, канализации, отопления, электроснабжения, а также трубопроводов сжатого воздуха, газопроводов и трубопроводов с перегретой водой через помещения убежищ не допускается. Во встроенных убежищах прокладка указанных линий инженерных коммуникаций, связанных с системами зданий (сооружений), в которые встроены убежища, допускается при условии установки отключающих и других устройств, исключающих возможность нарушения защитных свойств убежищ. Канализационные стояки должны быть заключены в стальные трубы или железобетонные короба, надежно заделанные в покрытие и пол убежища. Сети водоснабжения, отопления и канализации здания, проходящие над покрытием встроенного убежища, должны прокладываться в специальных коллекторах (бетонных или железобетонных каналах), доступных для осмотра и производства ремонтных работ при эксплуатации этих сетей в мирное время. Коллекторы должны иметь уклон 2-3 % в сторону стока. 1.14*. При проектировании встроенных убежищ следует предусматривать подсыпку грунта по покрытию слоем до 1 м и при необходимости прокладку в ней инженерных коммуникаций. Подсыпку грунта по покрытию допускается не производить, если оно обеспечивает требуемую защиту от проникающей радиации и от высоких температур при пожарах. Для отдельно стоящих убежищ следует предусматривать поверх покрытия подсыпку грунта слоем не менее 0,5 м и не более 1 м с отношением высоты откоса к его заложению не более 1:2 и выносом бровки откоса не менее чем на 1м, а для возвышающихся убежищ - на 3м. При определении величины слоя грунта над покрытием убежищ, расположенных в северной строительно-климатической зоне, следует производить проверочный расчет на недопущение в мирное время промерзания покрытия и конденсации влаги на нем, кроме случаев, когда по условиям эксплуатации в мирное время эти требования не предъявляются. 1.15*. Расстояния между помещениями, приспосабливаемыми под убежища, и емкостями, технологическими установками со взрывоопасными продуктами следует принимать в соответствии с прил. 1* но не менее противопожарных разрывов, нормируемых главами СНиП и другими нормативными документами, утвержденными или согласованными Госстроем СССР. 1.16. В защитных сооружениях, возводимых на вечномерзлых грунтах, в случае использования их в мирное время по другому назначению, чем это предусмотрено проектом, не допускается без специальных обоснований изменение температурного режима этих грунтов и принципа их использования в качестве основания. В северной строительно-климатической зоне отдельно стоящие сооружения, приспосабливаемые под убежища, следует размещать в зонах с пониженной высотой снегового покрова. В районах с объемом снегопереноса за зиму 400 м3/м и более, определяемым в соответствии с данными главы СНиП по строительной климатологии и геофизике, следует предусматривать мероприятия по снегозащите убежищ с учетом направления переноса снега при общих и низовых метелях. 1.17*. Убежища должны быть защищены от возможного затопления дождевыми водами, а также другими жидкостями при разрушении емкостей, расположенных на поверхности земли или на вышележащих этажах зданий и сооружений. Убежища допускается располагать на расстоянии не менее 5 м (в свету) от линий водоснабжения, теплоснабжения и напорной канализации диаметром до 200 мм. При диаметре более 200 мм расстояние от убежища до линий водоснабжения, теплоснабжения и напорных канализационных магистралей должно быть не менее 15 м. В северной строительно-климатической зоне отвод поверхностных вод следует предусматривать по открытым кюветам или лоткам, а из углублений - по трубам. Расстояние от убежища до открытых водостоков необходимо определять с учетом сохранения вечномерзлого состояния грунтов оснований убежищ и близлежащих зданий и сооружений. Выбор системы сброса поверхностных вод должен назначаться с учетом исключения возможности образования наледи. РАЗМЕЩЕНИЕ ПРОТИВОРАДИАЦИОННЫХ УКРЫТИЙ 1.18*. Противорадиационные укрытия следует размещать в соответствии с данными прил. 1*. 1.19*. К помещениям, приспосабливаемым под противорадиационные укрытия, предъявляются следующие требования: наружные ограждающие конструкции зданий или сооружений должны обеспечивать необходимую кратность ослабления гамма-излучения; проемы и отверстия должны быть подготовлены для заделки их при переводе помещения на режим укрытия; помещения должны располагаться вблизи мест пребывания большинства укрываемых. 1.20*. Уровень пола противорадиационных укрытий должен быть выше наивысшего уровня грунтовых вод не менее чем на 0,2 м. Противорадиационные укрытия допускается размещать в подвальных помещениях ранее возведенных зданий и сооружений, пол которых расположен ниже уровня грунтовых вод, при наличии надежной гидроизоляции. Проектирование противорадиационных укрытий во вновь строящихся подвальных помещениях при наличии грунтовых вод выше уровня пола допускается с разрешения министерств и ведомств при устройстве надежной гидроизоляции в исключительных случаях, когда отсутствуют другие приемлемые решения: оборудование противорадиационных укрытий на первом или в цокольном этаже зданий, приспособление под противорадиационные укрытия помещений близлежащих зданий и сооружений с учетом радиуса сбора укрываемых. 1.21. Прокладка транзитных и связанных с системой здания газовых сетей, паропроводов, трубопроводов с перегретой водой и сжатым воздухом через помещения противорадиационных укрытий не допускается. Прокладка транзитных трубопроводов отопления, водопровода и канализации через помещения противорадиационных укрытий допускается при условии размещения их в полу или в коридорах, отделенных от помещения противорадиационного укрытия стенами с пределом огнестойкости 0,75 ч. Трубопроводы отопления и вентиляции, водоснабжения и канализации, связанные с общей системой инженерного оборудования здания, допускается прокладывать через помещения противорадиационных укрытий. 2. ОБЪЕМНО-ПЛАНИРОВОЧНЫЕ И КОНСТРУКТИВНЫЕ РЕШЕНИЯ А. УБЕЖИЩА 2.1*. В убежищах следует предусматривать основные и вспомогательные помещения. К основным относятся помещения для укрываемых, пункты управления, медпункты, а в убежищах лечебных учреждений - также операционно-перевязочные, предоперационно-стерилизационные. К вспомогательным относятся фильтровентиляционные помещения (ФВП), санитарные узлы, защищенные ДЭС, электрощитовая, помещение для хранения продовольствия, станция перекачки, баллонная, тамбур-шлюз, тамбуры. ПОМЕЩЕНИЯ ОСНОВНОГО НАЗНАЧЕНИЯ 2.2. Норму площади пола основного помещения на одного укрываемого следует принимать равной 0,5 м2 при двухъярусном и 0,4 м2 - при трехъярусном расположении нар. Внутренний объем помещения должен быть не менее 1,5 м2 на одного укрываемого. Норму площади помещений основного и вспомогательного назначения в убежищах лечебных учреждений следует принимать согласно табл. 1. Примечания: 1 При определении объема на одного укрываемого следует учитывать объемы всех помещений в зоне герметизации, за исключением ДЭС, тамбуров, расширительных камер. 2. Площадь основных помещений, занимаемая недемонтируемым и не используемым для убежища оборудованием, в норму площади одного укрытия не входит. Таблица 1
2.3*. Высоту помещений убежищ следует принимать в соответствии с требованиями использования их в мирное время, но не более 3,5 м. При высоте помещений от 2,15 до 2,9 м следует предусматривать двухъярусное расположение нар, а при высоте 2,9 м и более - трёхъярусное. В убежищах учреждений здравоохранения при высоте помещения 2,15м и более принимается двухъярусное расположение нар (кроватей для нетранспортабельных больных). При технико-экономическом обосновании допускается использовать под убежища помещения, высота которых по условиям их эксплуатации в мирное время не менее 1,85 м. В этом случае принимается одноярусное расположение нар. 2.4*. Места для сидения в помещениях для укрываемых следует предусматривать размерами 0,45х0,45 м на одного человека, а места для лежания - 0,55х1,8 м. Высота скамей первого яруса должна быть 0,45 м, нар второго яруса - 1,4 м, третьего яруса - 2,15 м от пола. Расстояние от верхнего яруса до перекрытия или выступающих конструкций должно быть не менее 0,75 м. Количество мест для лежания должно приниматься равным: 20% вместимости сооружения при двухъярусном расположении нар; 30 % вместимости сооружения при трехъярусном расположении нар. 2.5. Ширину проходов и коридоров следует принимать согласно табл. 2. Таблица 2
2.6*. На предприятиях с числом работающих в наиболее многочисленной смене 600 чел. и более в одном из убежищ следует предусматривать помещение для пункта управления предприятия. На предприятиях с числом работающих в наиболее многочисленной смене до 600 чел. в убежище вместо пункта управления надлежит оборудовать телефонную и радиотрансляционную точки для связи с местным штабом гражданской обороны. Пункт управления следует размещать в убежище, имеющем, как правило, защищенный источник электроснабжения. Рабочую комнату и комнату связи пункта управления следует располагать вблизи одного из входов и отделять от помещений для укрываемых несгораемыми перегородками с пределом огнестойкости 1 ч. Общее количество работающих в пункте управления предприятия следует принимать до 10 чел., норму площади на одного работающего - 2 м2. На отдельных крупных предприятиях с разрешения министерств и ведомств число работающих на пункте управления допускается увеличивать до 25 чел. 2.7*. Отделку основных вспомогательных помещении убежищ следует предусматривать в соответствии с требованиями СНиП в зависимости от назначения помещений, но не выше улучшенной отделки. Оштукатуривание потолков и стен помещений, а также облицовка стен керамической плиткой не допускаются. Поверхности стен помещений убежищ лечебных учреждений следует затирать цементным раствором под окраску масляной краской светлых тонов с матовой поверхностью. В операционно-перевязочных, операционных и родовых родильных домов полы следует покрывать допущенными к применению синтетическими материалами светлых тонов. ПОМЕЩЕНИЯ ВСПОМОГАТЕЛЬНОГО НАЗНАЧЕНИЯ 2.8*. Площади вспомогательных помещений убежищ рекомендуется принимать согласно прил. 3. Фильтровентиляционное оборудование следует размещать в фильтровентиляционных помещениях (ФВП), расположенных у наружных стен. Размеры ФВП следует определять в зависимости от габаритов оборудования и площади, необходимой для его обслуживания. Противопыльные фильтры в системах вентиляции с электроручными вентиляторами должны иметь защитный экран, исключающий возможность прямого облучения обслуживающего персонала. Толщина защитных экранов и стен ФВП, смежных с внутренними помещениями убежищ, должна быть не менее величин, указанных в табл. 2а*. Таблица 2а*.
2.9. Санитарные узлы следует проектировать раздельными для мужчин и женщин. Количество санитарных приборов принимается согласно табл. 3. Таблица 3
Ширина прохода между двумя рядами кабин уборных или между рядом кабин и расположенных против них писсуаров должна быть равна 1,5 м, а между рядом кабин уборных и стеной или перегородкой - 1,1 м. 2.10*.Помещения для ДЭС следует располагать у наружной стены здания, отделяя его от других помещений несгораемой герметичной стеной (перегородкой) с пределом огнестойкости 1 ч. Входы в ДЭС из убежища должны быть оборудованы тамбуром с двумя герметическими дверями, открывающимися в сторону убежища. 2.10а*. При численности укрываемых до 150 чел. помещение для хранения продуктов следует принимать площадью 5 м2. На каждые 150 укрываемых сверх 150 чел. площадь помещения увеличивается на 3 м2. Количество помещений для хранения продовольствия следует принимать из расчета одно помещение на 600 укрываемых. Помещения следует располагать рассредоточенно в различных местах убежища. Не допускается располагать указанные помещения рядом с санитарными узлами и медицинскими комнатами. Помещения оборудуются стеллажами заводского или индивидуального изготовления. Высота стеллажей должна быть не более 2 м. При этом минимальное расстояние от верхней полки стеллажа до выступающих частей перекрытия следует предусматривать не менее 0,5 м. 2.10б*. Дренажные станции перекачки следует располагать за линией герметизации убежищ. При входе в станцию должен быть предусмотрен тамбур с двумя герметическими дверями, открывающимися в сторону помещения станции. Под полом станции необходимо предусматривать резервуар для приема и откачки дренажных вод. Вход в резервуар осуществляется через люк в полу станци. 2.10в*. Дверь в электрощитовую должна иметь проем размером 0,8х1,8 м, открываться наружу и иметь самозапирающиеся замки, открываемые без ключа с внутренней стороны помещения. 2.10г*. Помещение баллонной следует предусматривать в убежищах с тремя режимами вентиляции. По взрывоопасности, взрывопожарной и пожарной опасности оно относится к категории Д. Сообщение баллонной со смежными помещениями необходимо предусматривать через тамбур с противопожарными дверями, открывающимися наружу. ЗАЩИЩЕННЫЕ ВХОДЫ И ВЫХОДЫ 2.11. Размеры проемов и проходов в помещения, приспосабливаемые под убежища, должны удовлетворять требованиям настоящей главы и других нормативных документов, предъявляемых к помещениям в зависимости от их назначения в мирное время. Количество входов следует принимать согласно прил. 1* в зависимости от вместимости убежища и количества укрываемых, приходящихся на один вход, но не менее двух входов. При вместимости убежища до 300 чел. допускается устраивать один вход, при этом вторым входом должен быть аварийный (эвакуационный) выход в виде тоннеля с внутренним размером 1,2х2 м и с дверным проемом размером 0,8х1,8 м. 2.12. Количество выходов из производственных зданий для заполнения убежищ, расположенных за пределами этих зданий, определяется аналогично входам в убежища. Общая ширина выходов из здания должна быть не менее суммарной ширины входов в убежища. При этом допускается принимать в качестве выхода из здания наряду с обычными выходами и подъемно-поворотные ворота для транспорта, оборудованные устройствами для автоматического и ручного открывания. Подъемно-поворотные ворота для транспорта без устройств для ручного открывания при расчете путей эвакуации из здания не учитываются. 2.13*. Входы следует предусматривать в противоположных сторонах убежищ с учетом направления движения основных потоков укрываемых: с территории предприятия, из незащищенных помещений подвалов, из первого этажа производственных и других зданий через самостоятельную лестничную клетку, из общих лестничных клеток, не имеющих выходов из пожароопасных помещений. Конструктивно-планировочные решения входов, возвышающихся и встроенных в первые этажи убежищ, должны обеспечивать необходимую защиту от проникающей радиации и исключать возможность прямого попадания излучения в защищенные помещения. Для этого следует предусматривать устройство во входах поворотов под углом 90° или экранов против дверных проемов с перекрытиями между экранами и убежищами. Защитные толщи экранов и перекрытий принимаются по расчету на радиационное воздействие. В северной строительно-климатической зоне входы во встроенные убежища следует размещать ближе к углам зданий и в стенах, расположенных параллельно направлению преобладающих ветров (по направлению ветров зимнего периода). 2.14*. В зданиях входы в помещения, приспосабливаемые под убежища, допускается устраивать через общие лестничные клетки при отсутствии в этих помещениях складов сгораемых материалов, гардеробных и мастерских по ремонту одежды и обуви. При наличии в помещениях, приспосабливаемых под убежища, сгораемых материалов, гардеробных и мастерских по ремонту одежды и обуви выход на первый этаж следует предусматривать через отдельные лестничные клетки, ведущие до первого этажа, а также допускается использовать для выхода общую лестничную клетку, устраивая для этих помещений обособленные выходы наружу, отделенные от остальной части лестничной клетки глухими несгораемыми ограждающими конструкциями с пределом огнестойкости не менее 1 ч. Встроенные убежища, используемые в мирное время под складские помещения, должны иметь не менее одного входа с территории предприятия. 2.15*. Для убежищ вместимостью 300 чел. и более следует предусматривать устройство при одном из входов тамбура-шлюза. Для убежищ вместимостью от 300 до 600 чел. включительно устраивается однокамерный, а в убежищах большей вместимости - двухкамерный тамбур-шлюз. Для убежищ вместимостью более 600 чел. вместо двухкамерного тамбура-шлюза допускается устройство при двух входах однокамерных тамбуров-шлюзов. Площадь каждой камеры тамбура-шлюза при ширине дверного проема 0,8 м следует принимать 8 м2, а при ширине 1,2 м-10 м2. В наружной и внутренней стенах тамбура-шлюза следует предусматривать защитно-герметические двери, соответствующие классу защиты убежища. Защитно-герметические двери должны открываться наружу, по ходу эвакуации людей. В убежищах лечебных учреждений вместимостью до 200 чел. устраивается однокамерный, а при большей вместимости - двухкамерный тамбур-шлюз. 2.16*. Все входы в убежища, кроме тех, которые оборудованы тамбурами-шлюзами, должны оборудоваться тамбурами. Двери в тамбурах следует предусматривать: в наружной стене - защитно-герметические, соответствующие классу защиты убежища и типу входа, во внутренней стене - герметические. Двери должны открываться по ходу эвакуации людей. Вход в расширительную камеру из помещений в пределах контура герметизации необходимо оборудовать двумя герметическими ставнями, а из помещения ДЭС - одним. Входные проемы, используемые в мирное время и оборудованные защитно-герметическими и герметическими дверями, должны заполняться дверями с учетом требований глав СНиП по проектированию зданий и сооружений и противопожарных норм. 2.17. Суммарную ширину лестничных спусков во входе следует принимать в 1,5 раза, а пандусов - в 1,1 раза больше суммарной ширины дверных проемов. Уклон лестничных маршей следует принимать не более 1:1,5, а пандусов - 1:6. Ширина тамбура-шлюза, ширина и длина тамбура и предтамбура при распашных дверях должны быть на 0,6 м больше ширины дверного полотна. В убежищах лечебных учреждений следует принимать ширину предтамбура, тамбура-шлюза - 2,5 м, тамбура - 1,8 м; длину тамбура и тамбура-шлюза 4-4,5 м, предтамбура - 1,8 м. 2.18*. Помещения, приспосабливаемые под убежища, должны иметь один аварийный (эвакуационный) выход. В убежищах вместимостью 600 чел. и более одного из выходов следует оборудовать как аварийный (эвакуационный) в виде тоннеля внутренним размером 1,2х2 м. При этом выход из убежища в тоннель необходимо осуществлять через тамбур, оборудованный защитно-герметической и герметической дверями размером 0,8х1,8 м. Тоннель аварийного выхода, совмещенного со входом в убежище, допускается предусматривать для размещения однокамерного тамбура-шлюза. В отдельно стоящих убежищах допускается один их входов, расположенных вне зоны возможных завалов, проектировать как аварийный выход. Аварийные выходы следует располагать, как правило, выше уровня грунтовых вод. Превышение отметки уровня грунтовых вод относительно пола аварийного выхода допускается принимать не более 0,2 м, а в аварийном выходе, совмещенном со входом, - не более 1,0 м. В условиях высокого уровня грунтовых вод допускается аварийный выход проектировать через покрытие в виде защищенной шахты без подходного тоннеля. При совмещении шахтного аварийного выхода со входом следует предусматривать лестничный спуск. Высота оголовка шахты определяется расчетом. 2.19. В убежищах вместимостью до 600 чел. допускается предусматривать аварийный выход в виде вертикальной шахты с защитным оголовком. При этом аварийный выход должен соединяться с убежищем тоннелем. Внутренние размеры тоннеля и шахты должны быть 0,9х1,3 м. Выход из убежища в тоннель должен оборудоваться защитно-герметическими и герметическими ставнями, устанавливаемыми соответственно с наружной и внутренней сторон стены. 2.20*. Аварийные шахтные выходы следует оборудовать защищенными оголовками, высоту которых hor необходимо принимать 1,2 или 0,5 м в зависимости от удаления оголовка от здания. Удаление оголовков в зависимости от высоты и типа зданий принимается согласно табл. 4. Таблица 4
При удалении оголовков на расстояния менее указанных в табл. 4 их высоту следует принимать по интерполяции между величинами 0,5 и 1,2 м или 1,2 м и высотой оголовка в пределах контуре разрушенного здания, равной hor = 0,15 Н для производственных многоэтажных и hor = 0,25 Н для административно-бытовых и жилых многоэтажных зданий. В стенах оголовка высотой 1,2 м следует предусматривать проемы размером 0,6х0,8 м, оборудуемые жалюзийными решетками, открываемыми внутрь. При высоте оголовка менее 1,2 м в покрытии следует предусматривать металлическую решетку, открываемую вниз, размером 0,6х0,6 м. В условиях стесненной городской застройки при соответствующем технико-экономическом обосновании допускается во входах, совмещенных с аварийными выходами, предусматривать оголовки с устройством в них лестничных маршей (спусков) и защитно-герметических и герметических дверей размером 0,8х1,8 м. В этом случае устройство тамбура при выходе из убежища в тоннель не предусматривается. При расстоянии от здания до открытой части аварийного выхода более высоты здания допускается вместо защищенного оголовка устраивать лестничный спуск с поверхности земли. 2.21. Входы и аварийные выходы должны быть защищены от атмосферных осадков и поверхностных вод. Павильоны, защищающие входы от атмосферных осадков, должны выполняться из легких несгораемых материалов. КОНСТРУКТИВНЫЕ РЕШЕНИЯ 2.22*. Конструкции помещений, приспосабливаемых под убежища, должны обеспечивать защиту укрываемых от воздействия ударной волны, ионизирующих излучении, светового излучения и теплового воздействия при пожарах. Помещения, приспосабливаемые под убежища, должны быть герметичными1. 2.23. Для убежищ следует принимать перекрытия по балочной схеме с опиранием балок (ригелей) на колонны, а также рекомендуется принимать безбалочные перекрытия. Применение несущих внутренних продольных и поперечных стен допускается при соответствующем технико-экономическом обосновании. 2.24*. Участки не обсыпанных грунтом железобетонных стен, выступающих над поверхностью земли или примыкающих к незащищенным подвалам, а также стены в местах примыкания входов и необсыпанные покрытия при толщине их 50 см и менее должны иметь термоизоляционный слой согласно табл. 6. ___________________ 1 Табл. 5 исключена. Таблица 6
2.25. Конструктивную схему встроенных убежищ следует выбирать с учетом конструкций здания (сооружения), в которое встраивается убежище, и на основе технико-экономической оценки объемно-планировочных решений по использованию помещений в мирное время. Рекомендуется применять каркасную схему. Бескаркасная схема допускается при соответствующем обосновании. 2.26. Конструктивные решения сопряжений элементов каркаса надземной части зданий с конструкциями встроенных убежищ должны предусматривать, как правило, свободное опирание надземных конструкций зданий на покрытие встроенного убежища. Для обеспечения пространственной жесткости каркаса вновь строящейся надземной части здания при воздействии эксплуатационных нагрузок допускается устройство "стыков по жесткой схеме" каркаса надземной части с покрытием убежищ, рассчитанных на разрушение надземных конструкций при особом сочетании нагрузок и сохранении при этом прочности и герметичности покрытия убежищ. 2.27*. При проектировании убежищ следует предусматривать применение типовых сборных железобетонных конструкций. Для убежищ IV класса допускается применение типовых железобетонных конструкций промышленного и жилищно-гражданского строительства с необходимым усилением. При расположении основания убежищ ниже или на уровне грунтовых вод фундаментную плиту следует проектировать из монолитного железобетона. Наружные стены убежищ, пол которых расположен ниже уровня грунтовых вод на 2 м и менее, допускается проектировать из сборных железобетонных конструкций с устройством надежной гидроизоляции. В случае, если отметка пола убежища ниже уровня грунтовых вод более чем на 2 м, фундаментную плиту и наружные стены убежищ следует проектировать из монолитного железобетона с оклеечной гидроизоляцией, предусматривая индустриальные способы их возведения и непрерывную укладку бетонной смеси при бетонировании. В зоне возможного затопления несущие конструкции убежищ следует проектировать из монолитного железобетона с оклеечной гидроизоляцией. 2.28. В наиболее напряженных местах изгибаемых и внецентренно сжатых железобетонных элементов необходимо предусматривать учащенную поперечную арматуру с шагом 10-15d. 2.29. Покрытия следует проектировать, как правило, сборными и сборно-монолитными, обеспечивающими надежную связь покрытия со стенами, выполненными из сборных железобетонных элементов, путем сварки закладных деталей или выпусков арматуры длиной 30-35d стержней, а со стенами из каменных (бетонных) материалов - путем установки анкеров. Узлы сопряжения должны замоноличиваться бетоном. 2.30*. Стены следует проектировать из сборных железобетонных панелей, бетонных блоков, монолитного железобетона и других строительных материалов, удовлетворяющих требованиям прочности, а также другим требованиям, предъявляемым к подземным частям зданий и сооружений. При проектировании стен из сборных конструкций необходимо предусматривать заполнение швов между стеновыми панелями и заделку их в паз фундаментной плиты бетоном или раствором. В водонасыщенных грунтах заполнение швов и заделку панелей следует производить водонепроницаемым бетоном (раствором) на безусадочном или расширяющемся и самонапрягающемся цементе либо на портландцементе с уплотняющими добавками. Места сопряжения стен (углы примыкания, пересечения), выполненные из каменных материалов и бетонных блоков, следует усиливать арматурой класса А-I в виде отдельных стержней или сеток. При проектировании наружных стен встроенных в первые этажи убежищ следует применять монолитный железобетон или комплексные конструкции, состоящие из монолитного железобетона и каменной кладки, расположенной с наружной стороны. 2.31*. Колонны и фундаменты необходимо проектировать из сборного или монолитного железобетона. При расположении основания сооружения на 0,5 м выше наивысшего уровня грунтовых вод следует применять ленточные (под стены) и столбчатые (под колонны) фундаменты. В водонасыщенных грунтах, сложных гидрогеологических условиях и в районах распространения вечномерзлых грунтов рекомендуется применять фундаменты в виде сплошной плиты из монолитного железобетона. Для стен и колонн возвышающихся, отдельно стоящих и встроенных в первые этажи убежищ допускается применение монолитных железобетонных ленточных фундаментов, расположенных в двух взаимно перпендикулярных направлениях. В районах распространения вечномерзлых грунтов тоннели входов и аварийных выходов должны иметь отдельные от основного сооружения фундаменты. 2.32. В северной строительно-климатической зоне тоннели входов и аварийных выходов убежищ, проектируемых с использованием вечномерзлых грунтов в качестве основания по принципу II и в соответствии с требованиями главы СНиП по проектированию оснований и фундаментов на вечномерзлых грунтах, следует отделять от помещений убежищ деформационными швами, конструкция которых должна исключать возможность попадания грунтовых вод во входы убежищ. 2.33. Сопряжения несущих стен и колонн с покрытиями и фундаментами должны обеспечивать пространственную жесткость убежища при монтажных и расчетных нагрузках. 2.34*. Перегородки следует проектировать армокирпичными, из сборного железобетона, из бетона на пористых заполнителях и других огнестойких материалов. Конструкции перегородок и их крепления к стенам, колоннам и покрытиям следует проектировать с учетом воздействия инерционных нагрузок и возможных деформаций элементов покрытий и вертикальных осадок стен и колонн при воздействии расчетной нагрузки. 2.34а*. В бетонной подготовке пола помещений для хранения продовольствия необходимо предусматривать укладку сетки из стальной проволоки диаметром 1,5-2,5 мм с размером ячейки не более 12х12 мм. В местах сопряжения бетонной подготовки пола с ограждающими конструкциями помещений сетку следует заводить на высоту 0,5 м от пола и оштукатуривать цементным раствором. Входные двери помещений для хранения продовольствия должны быть сплошными, без пустот, обитыми кровельной оцинкованной сталью на высоту 0,5 м, на дверях следует предусматривать установку замков. 2.35. Защиту входных проемов следует предусматривать с помощью защитно-герметических и герметических ворот, дверей и ставней, разрабатываемых в соответствии с ГОСТом. 2.36*. На вводах коммуникаций, обеспечивающих внешние связи данного помещения, приспосабливаемого под убежище, с другими, а также функционирование систем внутреннего оборудования после воздействия расчетной нагрузки, необходимо предусматривать компенсационные устройства. Проектирование компенсационных устройств и дверных проемов следует производить с учетом возможной осадки сооружения на 15 см. ГИДРОИЗОЛЯЦИЯ И ГЕРМЕТИЗАЦИЯ 2.37*. Гидроизоляцию убежищ следует проектировать в соответствии с требованиями инструкции по проектированию гидроизоляции подземных частей зданий и сооружений. Степень допустимого увлажнения ограждающих конструкций убежищ следует принимать в зависимости от назначения помещений, используемых в мирное время, но не ниже II категории. Для гидроизоляционных покрытий следует выбирать материалы, обладающие высокой адгезией, значительной сопротивляемостью разрыву, водо- и паронепроницаемостью, наибольшим относительным удлинением, а при наличии агрессивных грунтовых вод - стойкие к их воздействию. В северной строительно-климатической зоне независимо от принципа использования вечномерзлых грунтов (I и П) в качестве основания убежищ заглубленные в грунт конструкции должны иметь гидроизоляцию, стойкую к замораживанию и пригодную к условиям работы при отрицательных температурах. Во всех случаях гидроизоляция должна совмещаться с антикоррозионной защитой, а также с защитой фундаментов и других подземных зданий и сооружений от выпучивания. 2.38. В убежищах, размещаемых в водонасыщенных грунтах и в зонах возможного затопления, гидроизоляцию из рулонных материалов и отдельных листов необходимо рассчитывать исходя из условия обеспечения водонепроницаемости после воздействия расчетных нагрузок. При проектировании указанных убежищ необходимо определять зоны возможного появления трещин в ограждающих конструкциях и ширину их раскрытия при наиболее неблагоприятных расчетных случаях воздействия. Конструкцию гидроизоляционного покрытия следует определять с учетом возможного деформирования его без разрыва и потери изоляционных свойств. 2.39. Расчетная величина деформации ат, см, при которой материал гидроизоляции деформируется без разрыва, определяется по формуле
где Ки - коэффициент, зависящий от соотношения физико-механических свойств гидроизоляционных материалов и мастики, принимаемый по табл. 7; Еи - модуль деформации гидроизоляционного материала, принимаемый по табл. 8, кгс/см2; ∈и - относительное удлинение гидроизоляционного материала, принимаемое по табл. 8; Rи - расчетное сопротивление гидроизоляционного материала растяжению, кгс/см2, принимаемое по табл. 8; δ - толщина гидроизоляционного материала, см; Rм - расчетное сопротивление мастики сдвигу, принимаемое по табл. 8, кгс/см2; q - расчетная нагрузка на гидроизоляцию, кгс/см2; fи - коэффициент трения песка по гидроизоляционному покрытию, принимаемый по табл. 9. Таблица 7
Таблица 8
Таблица 9
2.40. Максимальная ширина раскрытия трещин в местах сопряжения железобетонных конструкций не должна превышать 0,5 см. В тех случаях, когда значения ат будут меньше максимальной ширины трещины в конструкции сооружения, необходимо предусматривать применение гидроизоляционных материалов с более высокими прочностными характеристиками, увеличивать число слоев гидроизоляционного покрытия или предусматривать местные усиления гидроизоляции в зоне образования трещин. Расчет гидроизоляции на отрыв по вертикальным поверхностям при осадке сооружения под действием нагрузки производится по формуле qfи ≤ Rм, (2) где Rм, q, fи - то же, что в формуле (1). 2.41*. Вводы инженерных коммуникаций должны быть доступны для их осмотра и ремонта с внутренней стороны убежища. Допускается объединение их, при этом группировку вводов следует производить с учетом требований соответствующих глав СНиП. На вводах водоснабжения и теплоснабжения, а также выпусках канализации следует предусматривать внутри убежища установку запорной арматуры. Закладные части для вводов кабелей, воздуховодов, труб водопровода и теплоснабжения и для выпусков канализации следует устраивать в виде стальных патрубков с наваренными в средней их части фланцами. Установку закладных частей в ограждающие конструкции следует предусматривать, как правило, до бетонирования. 2.42. Закладные части для крепления защитно-герметических и герметических дверей (ставней) и вводов инженерных коммуникаций следует проектировать с учетом нагрузок от воздействия ударной волны. По периметру закладных частей дверей следует предусматривать установку штуцеров с шагом 0,5 м для нагнетания через них раствора на расширяющемся цементе. В закладных (трубчатых) частях после прокладки кабелей электроснабжения и связи должна предусматриваться заливка свободного пространства кабельной мастикой. В других вводах свободное пространство внутри закладных частей следует заполнять уплотнительными прокладками. 2.43*. Эксплуатационный подпор воздуха при режиме фильтровентиляции должен предусматриваться 5 кгс/м2. При режиме чистой вентиляции подпор воздуха в убежище следует обеспечивать за счет превышения притока над вытяжкой, величина подпора воздуха при этом не нормируется. В проекте на плане сооружения указываются все линии герметизации убежища и средства, обеспечивающие герметизацию во входах и местах прохода коммуникаций. Б. ПРОТИВОРАДИАЦИОННЫЕ УКРЫТИЙ (ПРУ) ОБЪЕМНО-ПЛАНИРОВОЧНЫЕ РЕШЕНИЯ 2.44. В составе противорадиационных укрытий следует предусматривать помещения для размещения укрываемых (основные), санитарного узла, вентиляционной и для хранения загрязненной верхней одежды (вспомогательные). В неканализованных укрытиях вместимостью до 20 чел. допускается предусматривать помещение для выносной тары. Противорадиационные укрытия для учреждений здравоохранения должны иметь следующие основные помещения: для размещения больных и выздоравливающих, медицинского и обслуживающего персонала, процедурную (перевязочную), буфетную и посты медсестер. Размещение больных, медицинского и обслуживающего персонала следует предусматривать в раздельных помещениях, за исключением постов дежурного персонала. В противорадиационных укрытиях больниц хирургического профиля следует дополнительно предусматривать операционно-перевязочную и предоперационно-стерилизационную палаты. Для тяжелобольных следует предусматривать санитарную комнату. Противорадиационные укрытия для инфекционных больных следует проектировать по индивидуальному заданию, предусматривая раздельное размещение больных по видам инфекции и выделяя при необходимости помещения для отдельных боксов. 2.45* Норму площади пола основных помещений в ПРУ на одного укрываемого следует принимать равной 0,5 м2 при двухъярусном и 0,4 м2 при трехъярусном расположении нар. Нормы площади помещений противорадиационных укрытий для учреждений здравоохранения следует принимать согласно табл. 10. Таблица 10
2.46. При проектировании противорадиационных укрытий, размещаемых в общеобразовательных школах и детских садах-яслях, следует принимать нормы площади, кроме постов для медсестер, по поз. 17-19 табл. 10. при этом учеников-подростков 12 лет и старше следует относить к категории взрослых, остальных - к категории детей. 2.47*. Высоту помещений противорадиационных укрытий во вновь проектируемых зданиях следует принимать в соответствии с главой СНиП по проектированию помещений, используемых в мирное время, но не менее 1,9 м от отметки пола до низа выступающих конструкций перекрытий (покрытий). Для укрытий, оборудуемых в существующих зданиях и сооружениях, следует принимать: трехъярусное расположение нар при высоте помещений 2,8-3 м; двухъярусное расположение нар при высоте помещений 2.2-2,4 м. При размещении противорадиационных укрытий в подвалах, подпольях, горных выработках, пещерах, погребах и других заглубленных помещениях при их высоте 1,7-1,9 м следует предусматривать одноярусное расположение нар. Норма площади пола основных помещений ПРУ на одного укрываемого принимается равной 0,6 м2. Основные помещения укрытий оборудуются местами для лежания и сидения. Места для лежания должны составлять не менее 15% при одноярусном, 20% при двухъярусном и 30% при трехъярусном расположении нар общего количества мест в укрытии. Места для лежания следует принимать размером 0,55х1,8 м. Посты медицинских сестер следует предусматривать из расчета один пост на 100 больных средней тяжести. 2.48*. Требования к санитарным узлам принимаются в соответствии с п. 2.9 настоящей главы. Количество напольных чаш (унитазов), писсуаров и умывальников для противорадиационных укрытий на предприятиях и в жилых районах следует принимать в соответствии со второй графой табл. 3 настоящих норм. Для противорадиационных укрытий учреждений здравоохранения, имеющих больных средней и легкой тяжести, медицинский и обслуживающий персонал, нормы, указанные в поз. 1 и 2 второй графы табл. 3 настоящих норм, следует принимать, уменьшая в 1,5 раза, а указанные в поз. 3 и 4 той же таблицы - принимать по третьей графе. В противорадиационных укрытиях допускается проектировать санитарный узел из расчета обеспечения 50% укрываемых. Для остальных укрываемых пользование санитарными приборами следует предусматривать в соседних с укрытием помещениях. Площадь помещения для выносной тары следует принимать не более 1 м2. 2.49*. В противорадиационных укрытиях, имеющих вентиляцию с механическим побуждением, следует предусматривать вентиляционные помещения, размеры которых определяются габаритами оборудования и площадью, необходимой для его обслуживания. При ручном приводе вентилятора противопыльные фильтры должны иметь защитный экран, исключающий возможность прямого облучения обслуживающего персонала. Толщина защитных экранов и стен вентиляционных помещений, смежных с помещениями для укрываемых, принимается по табл. 2а*. 2.50. Помещения для хранения загрязненной уличной одежды следует предусматривать при одном из выходов и отделять от помещений для укрываемых несгораемыми перегородками с пределом огнестойкости 1 ч. Общая площадь их определяется из расчета не более 0,07 м2 на одного укрываемого. В укрытиях вместимостью до 50 чел. вместо помещения для загрязненной одежды допускается предусматривать устройство при входах вешалок, размещаемых за занавесями. 2.51*. Количество входов в противорадиационное укрытие следует предусматривать в зависимости от вместимости согласно прил. 1*, но не менее двух входов шириной 0,8 м. При вместимости укрытия до 50 чел. допускается устройство одного входа, при этом вторым эвакуационным выходом должен быть люк размером 0,6х0,9 м с вертикальной лестницей или окно размером 0,7х1,5 м со специальным приспособлением для выхода. Общую ширину входов для мирного времени в помещениях, приспосабливаемых под противорадиационные укрытия, следует принимать из расчета не менее 0,6 м на 100 чел., работающих в помещениях, но ширина каждого из входов должна быть не менее 0,8м. КОНСТРУКТИВНЫЕ РЕШЕНИЯ 2.52. Наружные ограждающие конструкции противорадиационных укрытий должны обеспечивать защиту укрываемых от поражающего воздействия ионизирующих излучений при радиоактивном заражении местности и от воздействия ударной волны согласно прил. 1 . Степень защиты укрываемых от ионизирующих излучении при радиоактивном заражении местности следует определять расчетом в соответствии с указанным в задании на проектирование коэффициентом защиты противорадиационного укрытия. 2.53*. Проемы в наружных ограждающих конструкциях, не используемые для входа или выхода из укрытия, следует заделывать во время перевода помещений на режим укрытия с учетом соблюдения условия Вес 1 м2 заделки должен соответствовать аналогичному весу ограждающих конструкций или быть не менее величин, определяемых расчетом по ослаблению излучения с учетом заданного коэффициента защиты укрытия. 2.54. Окна надземных помещений, расположенных за пределами зоны воздействия ударной волны и приспосабливаемых под противорадиационные укрытия, следует заделывать на высоту не менее 1,7 м от отметки пола. В верхней части окна (проема) допускается оставлять отверстие высотой 0,3 м, которое должно располагаться выше мест для лежания не менее чем на 0,2 м. 2.55. Для предотвращения заражения радиоактивными осадками основных помещений укрытий необходимо на незаложенных частях окон предусматривать устройство занавесей. В противорадиационных укрытиях следует предусматривать устройство в окнах помещений, смежных с укрытием и расположенных над ним, приспособлений для навешивания занавесей или для установки легких навесных ставней (щитов), исключающих попадание радиоактивных осадков в указанные помещения. 2.56*. Повышение защитных свойств противорадиационных укрытий, размещаемых в подвалах, подпольях, надземных жилых, общественных и других зданиях или сооружениях, следует предусматривать путем: устройства пристенных экранов из камня или кирпича, укладки мешков с грунтом и т. п. у наружных стен надземных помещений на высоту 1,7 м от отметки пола; обвалования выступающих частей стен подвалов (подполий) на полную высоту; укладки дополнительного слоя грунта на перекрытии и установки в связи с этим поддерживающих прогонов (балок) и стоек; заделки лишних проемов в ограждающих конструкциях и устройства стенок-экранов во входах (въездах). Все перечисленные мероприятия должны проводиться в период перевода помещений на режим укрытия. Устройство помещения фильтровентиляционной и установка в ней оборудования производятся заблаговременно. 2.57*. Во входах в противорадиационные укрытия должны устанавливаться обычные двери. При этом в зоне возможных слабых разрушений необходимо предусматривать приспособления для удержания дверного полотна в открытом положении в момент воздействия ударной волны. 2.58. Для защиты входов в укрытиях, расположенных на первом этаже здания или в заглубленных сооружениях с въездом для автотранспорта, следует предусматривать стенки-экраны. Вес 1 м2 экрана должен быть не менее веса 1 м2 наружной стены укрытия или определен по расчету на ослабление излучения. Место установки стенки-экрана определяется условиями эксплуатации, а расстояние от входного проема до экрана должно быть на 0,6 м больше ширины полотна двери (ворот). Размеры стенки-экрана в плане следует назначать из условия ослабления и минимального попадания через входы излучения в помещения для укрываемых. Высота стенки-экрана должна быть не менее 1,7 м от отметки пола. Допускается устройство стенки-экрана из местных материалов. 2.59. Защиту укрываемых от ионизирующих излучений, проникающих через входы, допускается также осуществлять путем устройства во входах поворотов на 90°, при этом толщина стены, расположенной против входа, определяется расчетом. 3*. НАГРУЗКИ И ВОЗДЕЙСТВИЯ НАГРУЗКИ И ИХ СОЧЕТАНИЯ 3.1*. Ограждающие и несущие конструкции убежищ следует рассчитывать на особое сочетание нагрузок, состоящее из постоянных, временных длительных нагрузок и статической нагрузки, эквивалентной действию динамической нагрузки от воздействия ударной волны (эквивалентная статическая нагрузка). Конструкции должны быть, кроме того, проверены расчетом на основное сочетание нагрузок и воздействий при эксплуатации помещений убежищ в мирное время, а также на возникающие усилия и сохранность герметичности убежищ при возможной осадке отдельных нагруженных опор (колонн) убежищ от эксплуатационной нагрузки надземной части здания или сооружения. 3.2. Постоянная и временная длительные нагрузки должны определяться согласно требованиям глав СНиП по нагрузкам и воздействиям к соответствующим нормам проектирования строительных конструкций. Постоянную нагрузку на убежища от конструкций вышележащих этажей зданий или сооружений при расчете на особое сочетание нагрузок следует определять согласно прил. 1*. 3.3*. При расчете на особое сочетание нагрузок коэффициенты сочетания нагрузок и перегрузки к эквивалентным статическим, постоянным и временным длительным нагрузкам следует принимать равными 1. При проектировании убежищ, возводимых в сейсмических районах, расчет на сейсмическое воздействие не производится. ДИНАМИЧЕСКИЕ НАГРУЗКИ ОТ ВОЗДЕЙСТВИЯ УДАРНОЙ ВОЛНЫ 3.4*. Динамическая нагрузка на элементы конструкций определяется условиями воздействия ударной волны на убежища в зависимости от заглубления их в грунт и гидрогеологических условий (см. рисунок). Принимается одновременное загружение всех конструкций. При этом динамическая нагрузка Рп, кгс/см2, принимается равномерно распределенной по площади и приложенной нормально к поверхности конструкции. 3.5*. Динамическую вертикальную нагрузку Р1 на покрытия встроенных убежищ (рис. а-л), при расположении над ними помещений с площадью проемов в ограждающих конструкциях 10% и более или с легко разрушаемыми конструкциями1, отдельно стоящих убежищ и тоннелей аварийных выходов, а также горизонтальную нагрузку на наружные стены убежищ, размещенных в вечномерзлых грунтах (рис. ж, з) следует принимать равной давлению во фронте ударной волны ΔР согласно прил. 1*. Для покрытий убежищ, встроенных в кирпичные и панельные здания, при расположении над ними помещений с площадью проемов в ограждающих конструкциях менее 10% величину ΔР следует умножать на коэффициент 0,9. Динамическую вертикальную нагрузку Р1 на покрытия убежищ, расположенных под техническими подпольями (рис. м), а также горизонтальную нагрузку Р4 на стены, отделяющие убежище от примыкающих помещений подвалов, не защищенных от ударной волны (рис. б), следует принимать равной давлению во фронте ударной волны ΔР, умноженному на коэффициент 0,7 при расположении над подпольями или подвалами помещений с площадью проемов в ограждающих конструкциях менее 10% и на коэффициент 0,8 при площади проемов 10% и более или при расположении над подвалом (подпольем) помещений с легко разрушаемыми конструкциями. 3.6*. Динамическую горизонтальную нагрузку Р2, передаваемую через грунт на элементы наружных стен (рис. а, в, г, е, м), следует принимать по формуле Р2 = КбΔР, (3) где К2 - коэффициент бокового давления, принимаемый по табл. 11; ΔР - давление во фронте ударной волны, кгс/см2, принимаемое согласно прил. 1*. _____________ 1 Здесь и далее под легко разрушаемыми конструкциями следует понимать наружные ограждающие конструкции, вес 1 м2 которых не превышает 100 кгс.
Схемы приложения динамических нагрузок на конструкции а, б - при полном заглублении встроенного убежища (а) и с примыканием (б) к помещению подвала, не защищенному от ударной волны; в, г - при неполном заглублении убежищ, обвалованных гpунтoм, с выносом бровки откоса на расстояние b0 соответственно больше (в) и меньше (г) отношения (h1 + h2) n0-1; д - при неполном заглублении убежища открытыми участками стен (h ≤ 1,5 м); е - при полном заглублении убежища и при уровне грунтовых вод выше отметки поля убежища; ж, з - при расположении убежище в вечномерзлых грунтах, при использовании основания по принципу I(ж) и по принципу II (з); и, к, л - для убежищ, встроенных в первые этажи зданий, при совмещении стен убежища и здания (и), с примыканием стен к внутренним помещениям здания (к), при расположении убежища внутри объема этажа (л); м - при расположении убежища под подвальными помещениями При наличии данных инженерных изысканий следует принимать Kб = 0,4 для песков со степенью влажности G ≤ 0,5 и Кб = 0,6 - для глины с консистенцией 0,75 <В < 1. Таблица 11
3.7. При уровне горизонта грунтовых вод выше отметки пола убежища (рис. е) динамическую горизонтальную нагрузку на элементы наружных стен, расположенных выше уровня горизонта грунтовых вод, следует определять по формуле (3) с коэффициентом Кб для неводонасыщенных грунтов, умноженным на коэффициент 1,2. Динамическую горизонтальную нагрузку на стены, расположенные ниже уровня горизонта грунтовых вод, следует определять по формуле (3) с коэффициентом Кб для водонасыщенных грунтов.
Примечание. Увеличение нагрузки на наружные стены, расположенные ниже уровня горизонта грунтовых вод, учитывается коэффициентом Кб = 1.
3.8. Динамическую горизонтальную нагрузку Р3 на элементы наружных стен убежища (рис. г) следует определять по формуле Р3 = КбКотрΔР, (4) где Котр - коэффициент, учитывающий отражение ударной волны и принимаемый по табл. 12; Kб, ΔР - обозначения те же, что в формуле (3). Таблица 12
3.9*. Динамическую горизонтальную нагрузку P4 для участков наружных стен, необвалованных и возвышающихся над поверхностью земли, непосредственно воспринимающих нагрузку от ударной волны (рис. д, и), следует определять с учетом эффекта обтекания сооружения ударной волной. При высоте выступающих частей стен убежища над поверхностью земли 1,5 м и менее (рис. д) динамическую нагрузку следует определять: а) для отдельно стоящих убежищ и встроенных убежищ в здания, стены которых имеют площадь проемов 10 % и более, по формуле 6) для встроенных убежищ в здания, стены которых имеют площадь проемов менее 10%, по формуле
При высоте выступающей части стен над поверхностью земли более 1,5 м динамическую нагрузку на стены отдельно стоящих и встроенных убежищ (рис. и) следует определять по формуле (5а). Для стен встроенных убежищ, находящихся за ограждающими конструкциями первого этажа зданий (рис. к, л), динамическую нагрузку следует принимать: при площади проемов стен здания от 10 до 50% - по формуле (5); при площади проемов более 50 %, а также для стен убежищ, находящихся за легко разрушаемыми конструкциями, - по формуле (5а); при площади проемов менее 10% - по формуле где P1 = 0,9 ΔР Динамическую горизонтальную нагрузку P′4 передаваемую через грунт (рис. д, и, к, л), следует определять по формуле Р′4 = КбР4. (5в) где Кб - коэффициент бокового давления, принимаемый по табл. 11; Р4 - нагрузка на участки стен и стены, не обвалованные грунтом. При типовом проектировании для встроенных в первые этажи убежищ расчетную нагрузку на стены следует принимать: для убежищ, находящихся за кирпичными, блочными и панельными ограждениями конструкций, - по формуле (5) , за легко разрушаемыми конструкциями - по формуле (5а). 3.10. Динамическую нагрузку Р5 на сплошную фундаментную плиту (рис. е) на основаниях из нескальных грунтов и при условии, что толщина слоя грунта под фундаментной плитой до скалы равна или больше величины заглубления сооружения в грунт, следует принимать равной давлению во фронте ударной волны ΔР. При толщине слоя нескального грунта от низа фундаментной плиты до скалы меньше величины заглубления сооружения динамическую нагрузку P5 следует принимать разной величине давления во фронте ударной волны ΔР, умноженной на коэффициент 1,2. 3.11. Динамическую нагрузку Р5 на сплошную фундаментную плиту (рис. г) на вечномерзлых грунтах при использовании основания по принципу II следует принимать равной величине давления во фронте ударной волны ΔР. Динамическую нагрузку Р6 на сплошную фундаментную плиту (рис. ж) на вечномерзлых грунтах при использовании основания по принципу II следует принимать равной величине давления во фронте ударной волны ΔР, умноженной на коэффициент 1,2. 3.12. Динамическую вертикальную нагрузку на колонны, внутренние и наружные стены следует определять расчетом в зависимости от площади загружения и динамической нагрузки на покрытия, определяемой по п. 3.5 настоящих норм. Динамическую нагрузку P7 на ленточные отдельно стоящие фундаменты следует определять расчетом в зависимости от динамической вертикальной нагрузки на стены, колонны и площади фундаментов. 3.13*. Динамическую горизонтальную нагрузку на участки наружных стен убежищ в местах расположения входов и на первые (наружные) защитно-герметические двери (ворота) следует определять в зависимости от типа входа, его расположения и принимать равной величине давления во фронте ударной волны ΔР, умноженной на коэффициент Кв, принимаемый согласно табл. 13*. Динамическую горизонтальную нагрузку на защитно-герметические двери (ворота), расположенные в стенах встроенных в первые этажи убежищ, следует определять по формулам (5), (5а) и (56) . Таблица 13*
3.14*. Динамическую нагрузку на внутренние стены тамбуров-шлюзов следует принимать равной динамической нагрузке на наружные стены убежища в месте расположения входа, умноженной на коэффициент 0,8. Динамическую нагрузку на внутренние стены тамбуров входов следует принимать равной: для убежищ II и III классов - 0,25кгс/см2; " " IV класса - 0,15 кгс/см2. 3.15*. Динамические нагрузки от ударной волны затекания на конструкции аварийного выхода, за проектированного в виде защищенного оголовка с шахтой и тоннелем, а также на участок стены в месте примыкания выхода следует принимать равными величине давления во фронте ударной волны ΔР, умноженной на коэффициент 1,6. Динамические нагрузки от ударной волны затекания на конструкции аварийного выхода (воздухозаборного канала), запроектированного в виде защищенного оголовка с шахтой, а также на участок стены в месте примыкания шахты следует принимать равными величине давления во фронте ударной волны ΔР, умноженной на коэффициенты: для убежищ II и III классов - 1,65; " " IV класса - 1,8. 3.16. Динамическую нагрузку от ударной волны затекания на стены, покрытие и пол аварийного (эвакуационного) выхода, запроектированного в виде наклонного спуска и тоннеля следует принимать равной величине давления во фронте ударной волны ΔР, умноженной на коэффициент Кв, принимаемой согласно табл. 13*. ЭКВИВАЛЕНТНЫЕ СТАТИЧЕСКИЕ НАГРУЗКИ 3.17*. Эквивалентную статическую нагрузку на изгибаемые и внецентренно сжатые (случай "а") элементы железобетонных конструкций покрытий убежищ при расчете их на изгиб и поперечную силу следует принимать равной динамической нагрузке по п. 3-5 настоящих норм, умноженной на коэффициент динамичности Кд. При этом коэффициенты динамичности при расчете конструкций элементов покрытий по несущей способности на изгибающий момент следует принимать по табл. 14*, при расчете на поперечную силу - по той же таблице с увеличением их на 10% для отдельно стоящих убежищ. Эквивалентную статическую нагрузку при определении величины продольной силы для внецентренно сжатых элементов перекрытия следует принимать равной динамической нагрузке, определяемой по пп. 3.6-3-9 настоящих норм и умноженной на коэффициент динамичности Кд = 1,0. 3.18. Вертикальную эквивалентную статическую нагрузку при расчете центрально- и внецентренно сжатых (случай "б") стоек рам, колонн и внутренних стен следует принимать равной динамической нагрузке, определяемой согласно п. 3.12 настоящих норм и умноженной на коэффициент динамичности Кд, принимаемый по табл. 15.
Примечание. Для внецентренно сжатых элементов железобетонных конструкций случаи "а" и "б" принимаются согласно главе СНиП по проектированию бетонных и железобетонных конструкций. Таблица 14*
Таблица 15
3.19*. Вертикальную эквивалентную статическую нагрузку на наружные стены от действия ударной волны на покрытие следует принимать равной вертикальной динамической нагрузке, определяемой по п. 3.5 настоящих норм. Расчет каменных наружных стен по предельному состоянию Iа, к которым примыкают (а не опираются) покрытия, производится на продольную силу от нагрузки, приходящейся непосредственно на горизонтальное сечение стены, и от нагрузки с примыкающего покрытия шириной 1 м, приложенной на расстоянии 4 см от внутренней поверхности стены. При расчете наружных стен следует учитывать, что продольные силы действуют одновременно с горизонтальной эквивалентной статической нагрузкой. 3.20*. Горизонтальную эквивалентную статическую нагрузку при расчете железобетонных изгибаемых и внецентренно сжатых (случай "а") элементов наружных стен следует определять по формуле q3 = PмаксКдК0, где Рмакс - динамическая горизонтальная нагрузка, определяемая согласно пп. 3.5-3.9 настоящих норм; Кд - коэффициент динамичности, принимаемый при расчете на изгибающий момент по табл. 16*, а при расчете на поперечную силу - согласно той же таблице, но с увеличением на 10 %; К0 - коэффициент, учитывающий увеличение давления на стены за счет горизонтальной составляющей массовой скорости частиц грунта, затухание волны сжатия с глубиной и снижение давления за счет движения сооружения и деформации стен. Для заглубленных и обвалованных стен значение коэффициента К0 принимается равным 0,8 при расчете по предельному состоянию Iа и единице - по предельному состоянию Iб. Для необвалованных стен и стен, расположенных в водонасыщенных грунтах, коэффициент К0 принимается равным единице. Таблица 16*
3.21*. Горизонтальную эквивалентную статическую нагрузку на внецентренно сжатые (случай "б") железобетонные стены, а также на каменные стены следует принимать: для обвалованных стен и стен, примыкающих к помещениям подвалов, не защищенных от ударной волны, равной динамической нагрузке, определяемой по пп. 3.5-3.8 настоящих норм, с коэффициентом динамичности Кд, равным 1; для стен, расположенных ниже уровня грунтовых вод (рис. е), и необвалованных стен (рис. д, и, к, л) равной динамической нагрузке, определяемой по пп. 3.7 и 3.9 настоящих норм, умноженной на коэффициент динамичности Кд = 1,7, для каменных стен без продольной арматуры - Кд = 2. 3.22. Вертикальную эквивалентную статическую нагрузку на ленточные и отдельно стоящие фундаменты следует принимать равной динамической нагрузке, определяемой согласно п. 3.12 настоящих норм, умноженной на коэффициент динамичности Кд, определяемый согласно табл. 15 настоящих норм. При расчете сплошных фундаментных плит вертикальную эквивалентную статическую нагрузку следует принимать равной динамической нагрузке, определяемой по пп. 3.10 и 3.11 настоящих норм, умноженной на коэффициент динамичности Кд, принимаемый согласно табл. 17. Таблица 17
3.23*. Оголовки аварийных выходов, возвышающиеся над поверхностью земли, следует рассчитывать на горизонтальную эквивалентную статическую нагрузку, равную давлению во фронте ударной волны ΔР, умноженному на коэффициент динамичности Кд = 2. При расчете оголовков на сдвиг и опрокидывание динамическую нагрузку следует принимать равной: на стену, обращенную к взрыву, - по формуле (5); на тыльную стену - 1,3 ΔР; на покрытие и боковые стены - 1,25 ΔР. 3.24*. Эквивалентную статическую нагрузку на наружные стены в местах расположения входов, на стены тамбуров-шлюзов и тамбуров, на ограждающие конструкции аварийных выходов и защитно-герметические двери следует принимать равной динамической нагрузке, определяемой согласно пп. 3.13*, 3.14*, 3.15* и 3.16 настоящих норм, умноженной на коэффициент динамичности Кд согласно табл. 18*. Для ограждающих конструкций аварийных выходов сквозникового и тупикового типов коэффициент динамичности следует принимать Кд = 1,3. Таблица 18*
3.25*. Закладные детали для крепления дверей и ставней должны рассчитываться на эквивалентную статическую нагрузку, приложенную перпендикулярно плоскости стены и направленную в сторону, противоположную действию ударной волны. Величину этой эквивалентной статической нагрузки следует принимать для убежищ II и III классов 0,25 кгс/см2, для убежищ IV класса - 0,15 кгс/см2. Внутренние стены расширительных камер, расположенных за противовзрывными устройствами, должны рассчитываться на эквивалентную статическую нагрузку, равную 0,2 кгс/см2, независимо от класса убежища. 3.26*. Стены открытых участков и подходные тоннели входов на действие динамической нагрузки не рассчитываются, они проверяются расчетом на действие эксплуатационной нагрузки и нагрузки от веса грунта. Устраиваемые во входах, сквозникового типа перекрытия следует рассчитывать на нагрузку, приложенную снизу и равную значению давления во фронте ударной волны, умноженному на коэффициент 0,2. Кроме того, перекрытия следует проверять расчетом на нагрузку от обручений вышележащих конструкций, равную 0,3 кг/см2. 3.27*. Тоннели аварийных выходов и входов, совмещенных с аварийными выходами, на участке от устья до защитно-герметической двери (ставня) или противовзрывного устройства следует рассчитывать на два случая: а) загружение только снаружи; б) результирующее - загружение снаружи и изнутри. Величины эквивалентных статических нагрузок снаружи определяются по пп.3.17*-3.21*, а изнутри - по п. 3.24* настоящих норм. При этом для тоннелей, расположенных в грунте, необходимо учитывать пассивный отпор грунта. 3.28. Эквивалентные статические нагрузки на конструкции противорадиационных укрытий следует принимать согласно прил. 1*. 4. РАСЧЕТ БЕТОННЫХ И ЖЕЛЕЗОБЕТОННЫХ КОНСТРУКЦИЙ 4.1*. Расчет бетонных и железобетонных конструкций убежищ следует производить в соответствии с требованиями глав СНиП: основные положения проектирования строительных конструкций и оснований, проектирование бетонных и железобетонных конструкций, а также настоящих норм. ХАРАКТЕРИСТИКА ПРЕДЕЛЬНЫХ СОСТОЯНИЙ 4.2. Расчет конструкций убежищ на силовые воздействия производится по методу предельных состояний - по потере несущей способности (предельные состояния первой группы) и должен обеспечивать от: разрушения отдельных элементов конструкций в наиболее напряженных сечениях; потери устойчивости формы отдельными элементами конструкций; разрушения конструкций при совместном воздействии силовых факторов и неблагоприятных влияний внешней среды. 4.3*. Расчет несущих конструкций защитных сооружений должен выполняться с учетом упруго-пластических свойств материалов - предельное состояние Iа. Предельное состояние конструкций в упруго-пластической стадии (состояние Iа) характеризуется началом разрушения бетона сжатой зоны в наиболее напряженных сечениях, растянутая арматура при этом находится в стадии развития неупругих (пластических) деформаций. Допускаются возникновение остаточных перемещений и наличие в бетоне растянутой зоны раскрытых трещин. По состоянию Iа рассчитываются элементы основных несущих и ограждающих конструкций убежищ. тоннели аварийных выходов. Предельное состояние конструкций по упругой стадии работы арматуры (состояние Iб) характеризуется достижением в растянутой арматуре напряжений, равных расчетному динамическому сопротивлению арматуры, при этом напряжения в бетоне сжатой зоны, как правило, меньше расчетного динамического призменного сопротивления бетона. Расчет железобетонных конструкций по предельному состоянию Iб обеспечивает отсутствие в них остаточных деформаций. По предельному состоянию Iб следует рассчитывать конструкции убежищ, расположенные в водонасыщенном грунте. 4.4*. Предельные состояния Iа и Iб шарнирно опертых изгибаемых и внецентренно сжатых (случай "а") элементов нормируются величиной К, равной отношению полного прогиба (перемещения) конструкции, достигаемого к моменту предельного состояния Yпр, к величине упругого прогиба (перемещения) конструкции Y0, при котором напряжение в арматуре растянутой зоны достигает значения расчетных динамических сопротивлении. Для элементов, рассчитываемых по предельному состоянию Iа, следует принимать К = 3м соблюдать условие Yi, ≤ Yпр, а для элементов, рассчитываемых по предельному состоянию Iб,- К = 1 и соблюдать условие Yi ≤ Y0. Величины прогибов конструкций определяются: а) упругий прогиб изгибаемых элементов Y0, при котором напряжения в растянутой зоне достигают значений Rад, по формуле
б) предельный прогиб Yпр, котором начинается раздробление бетона на верхней грани сжатой зоны балочных элементов, по формуле
в) предельный прогиб Yпр, при котором начинается разрушение сжатой зоны внецентренно сжатых элементов, по формуле
где Rад, Rа.сд - расчетные динамические сопротивления арматуры растяжению (сжатию) ; Rпрд - расчетная динамическая призменная прочность бетона; Еа - модуль упругости арматуры; Fа, F′а - площади растянутой (сжатой) арматуры; μ, μ′ - коэффициенты армирования сечения растянутой (сжатой) арматуры; а′- расстояние от равнодействующей усилий в сжатой арматуре до ближайшей грани сечения; h0 - рабочая высота сечения; l0 - расчетная длина элементов; b - ширина прямоугольного сечения; N - продольная сжимающая сила; S - коэффициент, зависящий от схемы загружения элементов и условий на опорах, принимаемый согласно прил. 5; Мрд - изгибающий момент, при котором напряжение в арматуре достигает Rад, определяемый из выражения Мрд = FаRад(h0 - 0,5xд) + F′аRа.сд(0,5хд - а′), где Мпрд - максимальный изгибающий момент, воспринимаемый нормальным сечением при условии ξд = ξRд и определяемый для прямоугольного сечения из выражения Мпрд = 0,5bh02Rпрд; ξд, ξRд - определяются по п. 4.19 настоящих норм. 4.5. Предельное состояние Iа элементов с защемленными опорами или неразрезных изгибаемых и внецентренно сжатых элементов (случай "а") нормируется величиной угла раскрытия трещин в шарнире пластичности, определяемой по формуле ψi пр = 0,035 + При ξд < 0,02 ψi пр принимается рваным 0,2 рад, где ξд - относительная высота сжатой зоны бетона, определяемая из выражений: для изгибаемых элементов
для внецентренно сжатых элементов (случай "а") μ - коэффициент армирования сечения растянутой зоны, определяемый из выражения
Прочность элемента при работе его в упругопластической стадии (предельное состояние Iа) обеспечивается при условии ψi ≤ψi пр, (11) где ψi - величина угла раскрытия трещин в шарнире пластичности от расчетной нагрузки с учетом коэффициента динамичности по перемещению. МАТЕРИАЛЫ И ИХ РАСЧЕТНЫЕ ХАРАКТЕРИСТИКИ А. Бетон 4.6*. Для сборных и монолитных бетонных и железобетонных конструкций убежищ должен применяться тяжелый бетон проектной марки не ниже М200, а для колонн и ригелей - не ниже М300. Бетонные блоки для стен высотой 2,4 м следует предусматривать марки не ниже М100. Раствор для заделки швов сборных железобетонных конструкций принимать марки не ниже M100, а для кладки стен - не ниже М50. 4.7. При расчетах конструкций защитных сооружений на эквивалентные статические нагрузки нормативные сопротивления бетона осевому сжатию призм (призменная прочность) Rпрн и сопротивление осевому растяжению Rрн принимаются в соответствии с требованиями главы СНиП по проектированию бетонных и железобетонных конструкций. При этом коэффициенты безопасности по бетону при сжатии Кб.с и растяжении Kб.р принимаются равными: Кб.с = 1,15 и Kб.р =1,25. Таблица 19*
4.8* Расчетные динамические сопротивления бетона в проектируемых конструкциях защитных сооружений следует принимать равными расчетным сопротивлениям бетона при расчете на эквивалентные статические нагрузки согласно табл. 19* умноженным на коэффициент динамического упрочнения бетона, принимаемый равным: при расчете по предельному состоянию Iа Ку.б = 1,2; при расчете по предельному состоянию Iб Ку.б = 1,3. 4.9. Расчетные сопротивления бетона, указанные в табл. 19* следует умножать на коэффициенты условий работы бетона, принимаемые по табл. 20. Таблица 20
4.10. Расчетное динамическое сопротивление бетона срезу Rсрд следует принимать равным расчетному сопротивлению бетона осевому сжатию (призменная прочность) Rпр согласно табл. 19*, умноженному на коэффициент, равный 0,25. Б. Арматура 4.11*. Выбор арматурных сталей для железобетонных конструкций убежищ должен производиться с учетом требований главы СНиП по проектированию бетонных и железобетонных конструкций и согласно табл. 21* настоящих норм. Для закладных деталей и соединительных накладок должна применяться прокатная углеродистая сталь класса С38/23 согласно требованиям главы СНиП по проектированию стальных конструкций. При этом коэффициент упрочнения стали следует принимать Ку = 1,4 и коэффициент условий работы m = 1,1. Таблица 21*
4.12* При расчете железобетонных конструкций убежищ на эквивалентные статические нагрузки (по предельному состоянию первой группы) расчетные сопротивления рабочей стержневой горячекатаной арматуры классов А-I, А-II и А-III, назначаемой для сечений элементов, следует принимать численно равными нормативным сопротивлениям арматурных сталей согласно главе СНиП по проектированию бетонных и железобетонных конструкций, с учетом коэффициента надежности по арматуре Ка, равного 1. При назначении в конструкциях убежищ арматурной стали класса A-IV ее расчетное сопротивление определяется по нормативному сопротивлению, принимаемому по указанной в этом пункте главе СНиП, с учетом коэффициента надежности по арматуре Ка, равного 1,2(1,1). Расчетное сопротивление проволочной арматуры класса Вр-I определяется по нормативному сопротивлению растяжению, принимаемому согласно главе СНиП по проектированию бетонных и железобетонных конструкций, с учетом коэффициента надежности по арматуре Ка, равного 1.1.
Примечание. В скобках указан коэффициент надежности по арматуре класса A-IV для условий проектирования конструкций, изготовляемых или возводимых после 1 января 1983 г.
4.13*. Расчетные динамические сопротивления арматуры Rад, Rа.хд, Rа.сд следует определять по расчетным сопротивлениям, указанным в табл. 22*, умножая их на коэффициенты динамического упрочнения арматурной стали, приведенные в табл. 23*. Расчетные сопротивления арматуры классов A-I, А-II и А-III, указанные в табл. 22* при расчете конструкции на изгиб следует умножать на коэффициент условий работы mб, равный 1,1. Таблица 22*
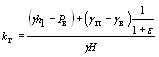
Таблица 23*
РАСЧЕТ ЖЕЛЕЗОБЕТОННЫХ ЭЛЕМЕНТОВ ПО ПРОЧНОСТИ 4.14. Расчет элементов железобетонных конструкций убежищ по прочности должен производиться для сечений, нормальных и наклонных к продольной оси элементов. Кроме того, должен производиться расчет элементов на местное действие нагрузки (смятие и продавливание) . Расчет сечений изгибаемых и внецентренно сжатых элементов сборно-монолитных конструкций производится так же, как монолитных. В рабочую высоту сечения следует включать высоту сборных элементов, при этом необходимо обеспечивать совместную их работу. Сборно-монолитные железобетонные конструкции должны проверяться расчетом на воздействие скалывающих напряжении. 4.15. Расчет прочности элементов железобетонных конструкций по сечениям, нормальным к оси элемента, производится исходя из следующего: сопротивление растянутого бетона не учитывается, и все растягивающие усилия передаются на арматуру, причем напряжения в ней принимаются равными расчетным динамическим сопротивлениям арматурной стали на растяжение; сопротивление бетона сжатию принимается равным динамическому сопротивлению бетона, а эпюра напряжений в сжатой зоне условно считается прямоугольной (в отдельных случаях принимается трапециевидной с коэффициентом полноты 0,75); сжимающие напряжения в арматуре сжатой зоны элементов принимаются равными динамическим расчетным сопротивлениям арматурной стали на сжатие. 4.16*. Определение внутренних усилий (изгибающих моментов, продольных и поперечных сил) в элементах конструкций защитных сооружений следует производить по правилам строительной механики от нагрузок, определяемых согласно требованиям п. 3.1* настоящих норм. Расчет конструкций убежищ целесообразно производить в целом как рамы. В случае с неуравновешенными внешними нагрузками расчет конструкции убежищ следует производить как рамы с дополнительными стержнями или, условно разрезав по стенам, рассчитать раздельно покрытие и фундаментную плиту как неразрезные балки. При расчете поэлементно следует учитывать перераспределение усилий. При расчете статически неопределимых балочных и рамных систем на эквивалентные статические нагрузки по состоянию Iа допускается учитывать перераспределение усилий между опорой и пролетом вследствие пластических деформаций или появления трещин. При этом уменьшение на опоре изгибающего момента, получаемого по расчету на эквивалентные статические нагрузки, допускается до 50 % для балок и 30 % для плит перекрытий и фундаментов. Для сборно-монолитных и монолитных балочных плит покрытий (за исключением плит безбалочных покрытий) заглубленных защитных сооружений, рассчитываемых без учета распора, возникающего вследствие ограничения горизонтальных перемещений опорных сечений, заделанных в железобетонные стены или ригели, следует уменьшать рабочую арматуру в пролете: на 20 % - при ξд ≤ 0,2; на 15% - при 0,2 < ξд ≤ 0,3; на 10% - при 0,3 < ξд ≤ 0,4. При ξд > 0,4 влияние распора не учитывается. Динамическую прочность сборных изгибаемых железобетонных элементов, имеющих закрепление на концах или надежное замоноличивание, с учетом распора можно определить по методике, изложенной в прил. 11*. 4.17. При применении в защитных сооружениях предварительно напряженных железобетонных конструкций предельное усилие, отвечающее расчетным динамическим характеристикам материалов при расчете на эквивалентные статические нагрузки, должно быть больше усилия, вызывающего образование трещин в убежищах, не менее чем на 25 %. В предварительно напряженных конструкциях, используемых для убежищ, не допускается применять арматуру, для которой относительное удлинение при разрыве δ меньше 4 %. Предварительно напряженные конструкции, в которых арматура не имеет сцепления с бетоном, применять в убежищах не допускается. А. Внецентренно сжатые элементы 4.18. Расчет внецентренно сжатых элементов на действие сжимающей продольной силы N производится в соответствии с требованиями главы СНиП по проектированию бетонных и железобетонных конструкций. Для случая, когда расчетный эксцентриситет продольной силы е равен нулю, а расчетная длина элемента l0 ≤ 20h, расчет сжатых элементов допускается производить из условия N = φ[RпрдF + Rа.сд(Fа + F′а)]. (12) где φ - коэффициент, принимаемый по главе СНиП по проектированию бетонных и железобетонных конструкций; Fа - площадь сечения растянутой арматуры, см2; F′а - площадь сечения сжатой арматуры, см2; F - площадь сечения элемента, см2; N - продольная сила от действия постоянных, длительных и кратковременных (эквивалентных статических) нагрузок, определяемая из выражения N = Nэкв.ст + Nдл; Rпрд - расчетная динамическая призменная прочность бетона; Rа.сд - расчетное динамическое сопротивление сжатию арматуры. 4.19. Расчет сечений, нормальных к продольной оси элемента, когда внешняя сила действует в плоскости оси симметрии сечения и арматура сосредоточена у перпендикулярных указанной плоскости граней элемента, должен производиться в зависимости от соотношения между величиной относительной высоты сжатой зоны бетона ξд, определяемой из соответствующих условий равновесия, и граничным значением относительной высоты сжатой зоны бетона ξRд, при котором предельное состояние элемента наступает одновременно с достижением в растянутой арматуре напряжения, равного расчетному динамическому сопротивлению арматуры растяжению. Расчет производится: при ξд ≤ ξRд - с учетом расчетных динамических сопротивлении арматуры; при ξд > ξRд - с учетом напряжений, достигаемых в арматуре, по формуле где ξд - относительная высота сжатой зоны бетона, определяемая из выражения
h0 - рабочая высота сечения; хд - высота сжатой зоны бетона при эквивалентной статической нагрузке; Rад - расчетное динамическое сопротивление растяжению арматуры; σад - напряжение в растянутой арматуре, не достигшей предела текучести; μ - коэффициент армирования сечения растянутой зоны. 4.20*. Величина ξRд определяется по формуле
где ξ0д - характеристика сжатой зоны бетона, определяемая по формуле ξ0д = 0,85 - 0,0008Rпрд. (14а) где Rпрд - расчетная динамическая призменная прочность бетона. 4.21*. Расчет прямоугольных сечений внецентренно сжатых элементов, указанных в п. 4.19 настоящей главы, следует производить: а) при Ne ≤ Rпрдbxд(h0 - 0,5xд) + Rа.сдF′а(h0 - a′). (15) при этом высота сжатой зоны определяется по формуле N + RпрдFа - Rа.сдF′a = Rпрдbxд; (16) б) при ξд = для элементов из бетона марки М400 и ниже с ненапрягаемой арматурой классов А-I, А-II, A-III и A-IV - по формуле N + σадFa - Rа.сдF′a = Rпрдbxд, (17) где σад - определяется по формуле (13). При расчете железобетонных наружных стен значение эксцентриситета е в формуле (15) следует определять из выражения
где М - момент от горизонтальной эквивалентной статической нагрузки, определяемой по пп. 3.20* и 3.21*; N - продольная сила от вертикальной эквивалентной статической нагрузки, определяемой по п. 3.19*; h - толщина стены; a - расстояние от равнодействующей усилий в растянутой арматуре до ближайшей грани сечения; Ке - коэффициент, учитывающий изменение эксцентриситета во времени и принимаемый по табл. 23а*. Таблица 23*
Б. Изгибаемые элементы 4.22*. Расчет прочности по сечениям, нормальным к продольной оси элемента, производится с учетом граничного значения относительной высоты сжатой зоны бетона ξRд. С целью предотвращения хрупкого разрушения изгибаемых элементов, рассчитываемых по предельному состоянию Iа, необходимо уменьшать подсчитываемое по формуле (14а) значение ξд на 10%. 4.23. Расчет прямоугольных сечений, нормальных к продольной оси элемента, при М ≤ Rпрдbxд(h0 - 0,5хд) + Rа.сдF′a(h0 - a′), (19) при этом высота сжатой зоны хд определяется из формулы RадFa - Rа.сдF′a = Rпрдbxд. (20) РАСЧЕТ ИЗГИБАЕМЫХ ЭЛЕМЕНТОВ ПО НАКЛОННЫМ СЕЧЕНИЯМ 4.24. При расчете элементов на действие поперечной силы от эквивалентных статических нагрузок должны соблюдаться условия: а) при расчете по предельному состоянию Iа Q ≤ 0,45Rпрдbh0; (21) б) при расчете по предельному состоянию Iб Q ≤ 0,35 Rпрдbh0. (22) В формулах (21) и (22) значение для бетонов марок выше М400 принимается как для бетона марки М400. При расчете сечений с переменной шириной по высоте принимается наименьшее значение ширины. 4.25. Расчет изгибаемых элементов на действие поперечных сил допускается не производить, если соблюдается условие Q ≤ 0,6Rрдbh0. (23) Значения правой части формулы (23) увеличиваются на 25% для сплошных плоских плит. При соблюдении условия (23) в сплошных плоских плитах поперечная арматура ставится конструктивно. 4.26. Расчет элементов с поперечной арматурой должен производиться по формуле Q = ΣRа.хдFх + ΣRа.хдF0 sinα + Qб. (24) где Q - поперечная сила, действующая в наклонном сечении, т.е. равнодействующая всех поперечных сил от внешней нагрузки, расположенных по одну сторону от рассматриваемого наклонного сечения; ΣRа.хдFх + +ΣRа.хдF0 sinα - сумма поперечных усилий, воспринимаемых соответственно хомутами и отогнутыми стержнями. пересекающими наклонное сечение; α - угол наклона отогнутых стержней к продольной оси элемента в наклонном сечении; Qб - поперечное усилие, воспринимаемое бетоном сжатой зоны в наклонном сечении. Величина Qб для изгибаемых и внецентренно сжатых элементов определяется по формуле
где С - длина проекции наклонного сечения на продольную ось элемента; b, h0 - принимаются в пределах наклонного сечения. 4.27. Для изгибаемых и внецентренно сжатых элементов постоянной высоты, армированных хомутами, длина проекции наклонного сечения на продольную ось элемента, отвечающая минимуму его несущей способности по поперечной силе (при отсутствии внешней нагрузки в пределах наклонного сечения), С0 определяется по формуле
а величина поперечной силы Qх.б, воспринимаемой хомутами и бетоном в наклонном сечении с длиной проекции С0, - по формуле
где qх - усилие в хомутах на единицу длины элемента в пределах наклонного сечения, определяемое по формуле
и - расстояние между хомутами, см. 4.28. Применение изгибаемых элементов без поперечной арматуры в конструкциях убежищ не допускается. В противорадиационных укрытиях элементы без поперечной арматуры следует рассчитывать согласно требованиям главы СНиП по проектированию бетонных и железобетонных конструкций, с учетом дополнительных нагрузок. РАСЧЕТ НА ПРОДАВЛИВАНИЕ 4.29. Расчет на продавливание плитных конструкций (без поперечной арматуры) от действия сил, равномерно распределенных на ограниченной площади, должен производиться по формуле Р ≤ Rрдbсрh0, (29) где Р - продавливающая сила; bср - среднее арифметическое значение величин периметров верхнего и нижнего оснований пирамиды, образующейся при продавливании, в пределах рабочей высоты сечения h0; Rрд - расчетною динамическое сопротивление бетона растяжению. При определении величин bср и Р предполагается, что продавливанием происходит по боковой поверхности пирамиды, меньшим основанием которой служит площадь действия продавливающей силы, а боковые стороны наклонены под углом 45° к горизонтали. При продавливании по поверхности пирамиды с углом наклона боковых граней больше 45° правая часть формулы (29) умножается на величину h0/с, но не более 2,5 (где с - длина горизонтальной проекции боковой грани пирамиды продавливания). 4.30. При установке в пределах пирамиды продавливания поперечной арматуры расчет должен производиться из условий: P ≤ Rа.хдFх.п; (30) Р ≤ 1,4 Rрдbсрh0, (31) где Fх.п - суммарная площадь сечения поперечной арматуры, пересекающей боковые поверхности пирамиды продавливания; Rа.хд - расчетное динамическое сопротивление поперечной арматуры. Указанные требования распространяются на плиты толщиной не менее 20 см, а также на ленточные и столбчатые фундаменты, в пазы которых заделываются сборные стеновые панели и колонны. При этом расчет на продавливание следует вести исходя из возможности продавливания железобетона, расположенного ниже дна стаканного или паза ленточного фундаментов. Поперечная арматура, устанавливаемая в плитных элементах в зоне продавливания, должна иметь достаточную анкеровку по концам. Кроме того, должна быть обеспечена передача поперечного усилия с продольной арматуры на хомуты. Ширина зоны постановки хомутов должна быть не менее 1,5 высоты сечения. РАСЧЕТ НА СКАЛЫВАНИЕ 4.31*. Неразрезные сборно-монолитные изгибаемые конструкции над промежуточными опорами должны быть проверены расчетом на скалывающие напряжения, возникающие на поверхности контакта материалов, по формуле
Предельное значение этих напряжении находится из выражения τпр = 0,25RпрдКпов, (33) где Q - поперечная сила в рассматриваемом сечении элемента; Кпов - коэффициент, учитывающий степень шероховатости поверхности сборного элемента и принимаемый согласно табл. 24. Таблица 24
Если τ > τпр, то следует предусматривать выпуски поперечной арматуры из сборного элемента в слой монолитного бетона нормально к поверхности и в количестве, определяемом расчетом на поперечную силу. 5* РАСЧЕТ УБЕЖИЩ ИЗ КАМЕННЫХ И ДРУГИХ МАТЕРИАЛОВ, ОСНОВАНИЙ И СВАЙНЫХ ФУНДАМЕНТОВ РАСЧЕТ УБЕЖИЩ ИЗ КАМЕННЫХ И ДРУГИХ МАТЕРИАЛОВ 5.1. В каменных и армокаменных конструкциях следует применять материалы с проектными марками по прочности на сжатие не ниже: кирпич - 100, бутовый камень - 150, раствор для кладки - 50. 5.2. Расчетные динамические сопротивления кладки из каменных материалов в конструкциях следует принимать равными расчетным сопротивлениям согласно главе СНиП по проектированию каменных и армокаменных конструкций, умноженным на коэффициент динамического упрочнения Ку = 1,2. 5.3. Расчетные динамические сопротивления для листового и профильного проката в конструкциях следует принимать равными расчетным сопротивлениям согласно главе СНиП по проектированию стальных конструкций, умноженным на коэффициент динамического упрочнения Ку = 1,4 и коэффициент условий работы m = 1,1. При расчете сварных соединений стальных конструкций коэффициент динамического упрочнения Ку.св следует принимать равным 1. 5.4. Расчетные динамические сопротивления для дерева, применяемого в конструкциях, следует принимать равными расчетным сопротивлениям согласно главе СНиП по проектированию деревянных конструкций, умноженным на коэффициент динамического упрочнения Ку = 1,4. 5.5*. Расчет элементов каменных и армокаменных конструкций следует производить по предельным состояниям первой группы в соответствии с требованиями главы СНиП по проектированию каменных и армокаменных конструкций. Расчет стен из каменных материалов при е0 ≤ 0,7у, производится без проверки растянутой зоны на раскрытие трещин. При этом наибольшая величина эксцентриситета е0 при расчете по несущей способности должна удовлетворять условиям при расчете: по предельному состоянию Iа - е0 ≤ 0,95у; по предельному состоянию Iб - е0 ≤ 0,8у, где у - расстояние от центра тяжести сечения элемента до края сечения в сторону эксцентриситета. При обеспечении совместной работы каменной кладки и железобетона расчет конструкций следует производить по методике, изложенной в прип.12*. РАСЧЕТ ОСНОВАНИЙ И ФУНДАМЕНТОВ 5.6*. Расчет оснований убежищ должен производиться в соответствии с требованиями глав СНиП по проектированию оснований зданий и сооружений. Расчет оснований убежищ, сложенных скальными грунтами, а также водонасыщенными глинистыми и заторфованными грунтами, производится по несущей способности на основное и особое сочетания нагрузок. При этом расчетные сопротивления оснований из скальных грунтов следует принимать равными временным сопротивлениям образцов скального грунта на одноосное сжатие в водонасыщенном состоянии, умноженным на коэффициент динамического упрочнения Ку = 1,3. Расчет оснований, сложенных нескальными грунтами, производится по деформации на основное сочетание нагрузок. При этом отношение площади фундаментов в плане под стенами и колоннами к площади покрытия (площади сбора нагрузки) следует принимать не менее: для убежищ II класса - 0,15, III класса - 0,1 и IV класса - 0,05. Расчет конструкции фундамента на прочность должен производиться на особое сочетание нагрузок, при этом эквивалентную статическую нагрузку следует принимать по п. 3.22 настоящих норм. 5.7* Требования к проектированию защитных сооружений, возводимых в районах распространения вечномерзлых грунтов, определяются, согласно главе СНиП по проектированию оснований и фундаментов на вечномерзлых грунтах, выбором принципа использования мерзлых грунтов в качестве основания, расчетной температурой грунтов и их температурным режимом в процессе строительства и эксплуатации сооружений. Требования в отношении встроенных сооружений и самого здания должны быть едиными. Отдельно стоящие заглубленные сооружения могут проектироваться с выбором принципа использования вечномерзлых грунтов в качестве основания независимо от принципа, принятого дня окружающих зданий, если эти сооружения располагаются на расстоянии, исключающем взаимное тепловое влияние. При этом следует учитывать использование вечномерзлых грунтов в качестве основания: принцип I - грунты основания сохраняются в мерзлом состоянии в течение всего периода строительства и эксплуатации здания или сооружения; принцип II - допускается оттаивание грунтов основания. 5.8. В качестве фундаментов отдельно стоящих сооружений следует использовать плитные, ленточные, столбчатые или свайные фундаменты. При принципе I использования вечномерзлых грунтов в качестве основания в них должны быть предусмотрены трубы или каналы с подачей хладоносителя при помощи естественного или механического побуждения для поддержания расчетной температуры вечномерзлых грунтов в основании сооружения. Выбор типа охлаждающих устройств определяется особенностями местных условий (температура воздуха, количество ветреных дней и направление ветра) и теплотехническим расчетом. 5.9. При проектировании следует учитывать, что вентиляционные трубы, короба или каналы должны быть доступны для периодического осмотра и очистки от льда, а также должен быть обеспечен отвод воды из труб и сборного коллектора. Поверхность сооружения, соприкасающаяся с грунтом в пределах сезонного промерзания-оттаивания, должна покрываться обмазками или пленками, снижающими силы морозного выпучивания. 5.10. Расчетные динамические сопротивления вечномерзлых грунтов следует принимать равными нормативным сопротивлениям, согласно главе СНиП по проектированию оснований и фундаментов на вечномерзлых грунтах, умноженным на коэффициент условий работы m = 1,2 и коэффициент динамического упрочнения Ку, равный: 6 - для грунтов в твердомерзлом состоянии; 4 - для грунтов в пластично-мерзлом состоянии. РАСЧЕТ СВАЙНЫХ ФУНДАМЕНТОВ 5.11. Расчет свайных фундаментов должен производиться в соответствии с требованиями главы СНиП по проектированию свайных фундаментов и глубоких опор. Несущую способность свай следует определять как наименьшее из значений, полученных при расчетах на особое сочетание нагрузок (с учетом действия ударной волны) по сопротивлению: грунта основания сваи; материала сваи, определяемому в соответствии с нормами проектирования бетонных и железобетонных конструкций. 5.12. Несущая способность Рсв, тс, висячих свай по условию сопротивления грунта основания определяется по формуле
где Рст - несущая способность одной сваи, то, при воздействии статической нагрузки, определяемая по главе СНиП по проектированию свайных фундаментов и глубоких опор; ΔР1 - давление во фронте ударной волны, тс/м2 (ΔР1 =10 ΔР; ΔР- давление, кгс/см2, принимаемое согласно прил 1*); Кβ, Кv, Кz - коэффициенты, учитывающие несовпадение по времени максимума давления в ударной волне, скорости и перемещения свайного фундамента, принимаемые: Кv = 1 м/с; Кz = 0,015 м; Кβ = 0,7 для фундаментов под наружными стенками и Кβ = 0,44 для внутренних стен (колонн); п - количество разнородных слоев грунта; vi - коэффициент Пуассона для 1-го слоя грунта, определяемый по главе СНиП по проектированию оснований зданий и сооружений; Пi - периметр поперечного сечения сваи в середине 1-го слоя грунта, м; Нгр - толщина 1-го слоя грунта, м, соприкасающегося с боковой поверхностью сваи; φi - угол внутреннего трения 1-го слоя грунта, определяемый по главе СНиП по проектированию оснований зданий и сооружений; vн - коэффициент Пуассона для слоя грунта под острием сваи, определяемый по главе СНиП по проектированию оснований зданий и сооружений; а1в, а1н - скорости распространения упруго-пластических волн в слое грунта у подошвы ростверка и у острия сваи, м/с, принимаемые по табл. 25; ρв, ρн - параметр грунта под ростверком и под острием сваи, тс⋅с2/м4 принимаемый по табл. 25; Fр - площадь подошвы ростверка, определяемая методом подбора, приходящаяся на одну сваю, м2, за вычетом площади F0; F0 - площадь опирания, м2, на грунт сваи, принимаемая по главе СНиП по проектированию свайных фундаментов и глубоких опор. 5.13. При определении несущей способности висячих свай с уширением у острия, погруженных без заполнения пазух выше уширения или с неуплотненной засыпкой, суммирование по слоям при вычислении первого слагаемого в формуле (34) следует распространять только на слои грунта, лежащие в пределах цилиндрической (призматической) части уширения сваи. Таблица 25
5.14. Несущая способность свай-стоек Рст, тс, по условию сопротивления грунта основания (сваи) определяется в соответствии с требованиями главы СНиП по проектированию свайных фундаментов и глубоких опор с учетом динамического упрочнения основания согласно пп. 5.6 и 5.10 настоящих норм. 5.15. Количество свай и свай-оболочек Nсв в фундаменте убежища определяется по формуле
где Рс - постоянная нагрузка, тс, передаваемая на рассчитываемую часть фундамента от вышележащих конструкций и принимаемая согласно прил. 1*; Fп - площадь покрытия, м2, с которой собирается нагрузка от ударной волны на рассчитываемую часть фундамента; Кд - коэффициент динамичности, принимаемый по условию сопротивления: а) грунта оснований свай Кд = 1; б) материала сваи для висячих свай Кд = 1 и для свай-стоек Кд = 1,8; ΔР1 - то же, что и в формуле (34); Рсв - несущая способность сваи, тс. 6*. РАСЧЕТ ПРОТИВОРАДИАЦИОННОЙ ЗАЩИТЫ 6.1*. Ограждающие конструкции убежищ должны обеспечивать ослабление радиационного воздействия до допустимого уровня. Степень ослаблении радиационного воздействия выступающими над поверхностью земли стенами и покрытиями убежищ следует определять по формуле где А - требуемая степень ослабления, принимаемая согласно прил. 1; Кγi - коэффициент ослабления дозы гамма-излучения преградой из i слоев материала, равный произведению значений Кγ для каждого слоя, принимаемых по табл. 26*; Кni - коэффициент ослабления дозы нейтронов преградой из i слоев материала, равный произведению значений Кn для каждого слоя, принимаемых по табл. 26*; Кр - коэффициент условий расположения убежищ, принимаемый по формуле где Кзас - коэффициент, учитывающий снижение дозы проникающей радиации в застройке и принимаемый по табл. 27*; Кзд - коэффициент, учитывающий ослабление радиации в жилых и производственных зданиях при расположении в них убежищ и принимаемый по табл. 27а*. 6.2*. Для материалов, близких по химическому составу к приведенным в табл. 26*, но отличающихся плотностью, коэффициенты Кγ и Кп следует определять для толщины приведенного слоя Хпрρ, рассчитываемого из выражения
где ρ - плотность вещества с известными значениями Кп и Кγ; Х - толщина слоя вещества с плотностью ρх, для которого определяется приведенная толщина Хпрρ. Таблица 26*
Таблица 27*
Для материалов, близких по химическому составу, но отличающихся влажностью при одинаковой плотности материала и не вошедших в табл. 26*, приведенную толщину Хпрп при расчете ослабления нейтронов следует определять из соотношения
где Хпрρ - приведенная к одной плотности по соотношению (36а) толщина нового материала; W - влажность нового неисследованного материала; Wизв - влажность материала с известными значениями Кп. По найденному значению Хпрρ по табл. 26* определяем значения Кγ и Кп, которые и являются коэффициентами ослабления дозы для нового материала толщиной X. 6,3. Необходимый коэффициент защиты противорадиационных укрытий в зависимости от их назначения и места расположения, а также характера производственной деятельности укрываемого населения устанавливается в задании на проектирование согласно прил. 1. Примечание. Принимается, что выпавшие радиоактивные осадки равномерно распределены на горизонтальных поверхностях и горизонтальных проекциях наклонных и криволинейных поверхностей. Заражение вертикальных поверхностей (стен) не учитывается. 6.4*. Коэффициент защиты Кз для помещений укрытий в одноэтажных зданиях определяется по формуле
где К1 - коэффициент, учитывающий долю радиации, проникающей через наружные и внутренние стены и принимаемый по формуле
αi - плоский угол с вершиной в центре помещения, против которого расположена i-тая стена укрытия, град. При этом учитываются наружные и внутренние стены здания, суммарный вес 1 м2 которых в одном направлении менее 1000 кгс; Кст - кратность ослабления стенами первичного излучения в зависимости от суммарного веса ограждающих конструкций, определяемая по табл. 28; Kпер - кратность ослабления первичного излучения перекрытием, определяемая по табл. 28; V1 - коэффициент, зависящий от высоты и ширины помещения и принимаемый по табл. 29; К0 - коэффициент, учитывающий проникание в помещение вторичного излучения и определяемый согласно п. 6,5* настоящих норм; Км - коэффициент, учитывающий снижение дозы радиации в зданиях, расположенных в районе застройки, от экранирующего действия соседних строений, принимаемый по табл. 30; Кш - коэффициент, зависящий от ширины здания и принимаемый по поз. 1 табл. 29. (38) Таблица 27a*
Таблица 28
6.5*. Коэффициент К0 следует принимать при расположении низа оконного проема (светового отверстия) в наружных стенах на высоте от пола помещения укрытия 0,8 м равным 0,8а, 1,5 м - 0,15а, 2 м и более - 0,09а. Таблица 29
Коэффициент а определяется по формуле
где S0 - площадь оконных и дверных проемов (площадь незаложенных проемов и отверстий); Sп - площадь пола укрытия. 6.6. Снижение дозы радиации от экранирующего влияния соседних зданий и сооружений определяется коэффициентом Км, принимаемым по табл. 30. 6.7. При разработке типовых проектов допускается определять защитные свойства помещений, предназначенных под противорадиационные укрытия, при усредненных значениях коэффициента Км, равных: 0,5 - для производственных и вспомогательных зданий внутри промышленного комплекса; 0,7 - для производственных и вспомогательных зданий, расположенных вдоль магистральных улиц или в городской застройке жилыми каменными зданиями; 1 - для отдельно стоящих зданий и зданий в сельских населенных пунктах. 6.8. Коэффициент защиты Кз для помещений укрытий на первом этаже в многоэтажных зданиях из каменных материалов и кирпича следует определять по формуле
где К1, Кст, Кш, К0, Км - обозначения те же, что и в формуле (37). Таблица 30
6.9*. Коэффициент защиты Кз, для помещений укрытий, расположенных на первом этаже внутри многоэтажного здания, когда ни одна стена этих помещений непосредственно не соприкасается с радиоактивно зараженной территорией, следует определять по формуле
где Кст, К0, Км - обозначения те же, что и в формуле (37), и определяются для внутренней стены помещения. 6.10*. Значения коэффициентов защиты, полученные по формулам (37), (40), (42) и (45) для противорадиационных укрытий, следует умножать на коэффициент 0,45 для зданий с а ≥ 0,5 и на коэффициент 0,8 для зданий с а ≤ 0,3 в случае, если не предотвращено заражение радиоактивными осадками смежных и лежащих над укрытием помещений. 6.11*. Коэффициент защиты Кз для укрытий, расположенных в не полностью заглубленных подвальных и цокольных этажах, следует определять по формуле
где К1, Кст, Кш, К0, Км - обозначения те же, что и в формуле (37), для возвышающихся частей стен укрытия; Кп - кратность ослабления перекрытием подвала (цокольного этажа) вторичного излучения, рассеянного в помещении первого этажа. определяемая в зависимости от веса 1 м2 перекрытия по табл. 28; К′0 - коэффициент, принимаемый при расположении низа оконного и дверного проемов (светового отверстия) в стенах на высоте от пола первого этажа 0,5 м и ниже равным 0,15а и 1 м и более - 0,09а, где а имеет такое же значение, что и в формуле (39). 6.12. Для подвальных и цокольных помещений, пол которых расположен ниже уровня планировочной отметки земли меньше чем на 1,7 м, коэффициент защиты следует определять по формуле (40) как для помещений первого этажа, а при обваловании стен этих помещений на полную высоту - по формуле (45). 6.13. В вес перекрытия над первым, цокольным или подвальным этажами производственных зданий промышленных предприятий при определении Кп в формулу (42) необходимо включать дополнительно вес стационарного оборудования, но не более 200 кгс/м2 с площади, занимаемой оборудованием. Указанный вес оборудования принимается равномерно распределенным по перекрытию. В вес 1 м2 перекрытия над цокольным или подвальным этажами жилых и общественных зданий, расположенных в зоне действия ударной волны, следует дополнительно включать вес 75 кгс/м2 от внутренних перегородок и ненесущих стен. 6.14. Для заглубленных в грунт или обсыпных сооружений (без надстройки) с горизонтальными, наклонными тупиковыми или вертикальными входами коэффициент защиты определяется по формуле
где V1, Кпер - обозначения те же, что и в формуле (37); χ - часть суммарной дозы радиации, проникающей в помещение через входы, определяется по формуле χ = КвхП90, (44) П90 - коэффициент, учитывающий тип и характеристику входа, принимаемый по табл. 31; Квх - коэффициент, характеризующий конструктивные особенности входа и его защитные свойства, принимаемый по табл. 32. Таблица 31
Таблица 32
В сооружениях арочного типа при определении Кпер толщина грунтовой обсыпки принимается для самой высокой точки покрытия. 6.15*. Коэффициент защиты для полностью заглубленных подвалов и помещений, расположенных во внутренней части не полностью заглубленных подвалов, а также для не полностью заглубленных подвалов и цокольных этажей при суммарном весе выступающих частей наружных стен с обсыпкой 1000 кгс/м2 и более определяется по формуле
где Кп, Vi, χ - обозначения те же, что и в формулах (42) и (43). 6.16*. При наличии нескольких входов значение χ определяется как сумма значений по всем входам. Если во входе предусматривается устройство стенки-экрана или двери весом более 200 кгс/м2, то значение χ определяется по формуле
где Квх, П90 - обозначения те же, что и в формуле (44); п - количество входов; Кст.э - кратность ослабления излучения стенкой-экраном (дверью), определяемая по табл. 28. как для Кст. 7*. САНИТАРНО-ТЕХНИЧЕСКИЕ СИСТЕМЫ 7.1*. В помещениях, приспосабливаемых под защитные сооружения, следует предусматривать системы вентиляции, отопления, водоснабжения и канализации, обеспечивающие необходимые условия пребывания в них укрываемых согласно прил. 1*. Элементы санитарно-технических систем следует проектировать с учетом максимального их использования при эксплуатации помещений в мирное время, при этом использование фильтров ПФП-1000, фильтров-поглотителей, фильтров ФГ-70 и средств регенерации в мирное время предусматривать не следует. Расстояния между элементами оборудования, а также между конструкциями и оборудованием следует принимать согласно табл. 33*. Таблица 33*
7.2. Системы санитарно-технических устройств защитных сооружений следует проектировать из стандартных или типовых элементов, выпускаемых отечественной промышленностью, преимущественно в виде блоков и укрупненных узлов. Размещение и крепление оборудования должны предусматриваться с учетом обеспечения надежного функционирования систем при возможных перемещениях ограждающих конструкций и появления в них остаточных прогибов в результате воздействия расчетной нагрузки. Санитарно-технические устройства защитных сооружений для районов северной строительно-климатической зоны следует проектировать с учетом требований нормативных документов для этих районов. ВЕНТИЛЯЦИЯ И ОТОПЛЕНИЕ УБЕЖИЩ 7.3. Систему вентиляции убежищ, как правило, следует проектировать на два режима: чистой вентиляции (режим I ) и фильтровентиляции (режим II). При режиме чистой вентиляции подача в убежище очищенного от пыли наружного воздуха должна обеспечивать требуемый обмен воздуха и удаление из помещений тепловыделений и влаги. При фильтровентиляции подаваемый в убежище наружный воздух должен очищаться от газообразных средств массового поражения, аэрозолей и пыли. 7.4*. В местах, где возможна загазованность приземного воздуха вредными веществами и продуктами горения, в убежищах следует предусматривать режим регенерации внутреннего воздуха (режим III) и создание подпора согласно прил. 1*. 7.5*. Количество наружного воздуха, подаваемого в убежище, следует принимать: при чистой вентиляции (режим I) - согласно табл. 34*; при фильтровентиляции (режим II) - из расчета 2 м3/ч на одного укрываемого, 5 м3/ч на одного работающего в помещениях пункта управления и 10 м3/ч на одного работающего в фильтровентиляционной камере с электроручными вентиляторами. Таблица 34*
Нормативы количества подаваемого воздуха (см. табл. 34*) допускается использовать при типовом проектировании. При привязке типовых проектов и разработке индивидуальных проектов количество подаваемого в убежище воздуха при режиме IL, м3/ч, необходимо определять по формуле
где Qт - количество выделяющегося в убежище тепла (от людей, электрического освещения, электросилового оборудования), ккал/ч; Iн - теплосодержание наружного воздуха, соответствующее среднемесячной температуре и влажности самого жаркого месяца, ккал/кг; Iв - теплосодержание внутреннего воздуха, соответствующее допустимым сочетаниям температуры и влажности воздуха, ккал/кг (определяется по графикам прил. 9* и 10* в зависимости от расчетных теплосодержания Iн, влагосодержания dн наружного воздуха - по I - d диаграмме - и климатической зоны). Количество воздуха, подаваемого в убежища для нетранспортабельных больных при лечебных учреждениях, а также работающих в медицинских пунктах, принимается: при чистой вентиляции - согласно табл. 34* с коэффициентом 1,5; при фильтровентиляции - из расчета 10 м3/ч на одного укрываемого. В операционных и родовых воздухообмен принимается: по притоку 10-кратный, по вытяжке 5-кратный в 1 ч независимо от режима вентиляции. 7.6 *. В убежищах, размещаемых в 3-й и 4-й климатических зонах (см. табл. 34*) . для II режима вентиляции на основе тепловлажностного расчета следует предусматривать одно из следующих решений по удалению теплоизбытков: увеличение количества подаваемого воздуха до 10 м3/чел.-ч; применение устройств для охлаждения воздуха. Оптимальное решение по удалению теплоизбытков выбирается на основании технико-экономического расчета. В убежищах, размещаемых в указанных климатических зонах, для удаления теплоизбытков в III режиме необходимо предусматривать устройства для охлаждения воздуха. В случае использования во II или III режимах вентиляции устройств для охлаждения воздуха допускается предусматривать их применение и в I режиме при условии возможности сохранения запаса воды (источника водоснабжения), предназначаемого на охлаждение воздуха и дизель-электрического агрегата во II и III режимах вентиляции. 7.7*. Для удаления из убежищ при II режиме теплоизбытков с помощью наружного воздуха в качестве расчетных следует принимать параметры наружного воздуха, соответствующие среднемесячным температуре и влажности самого жаркого месяца года. Для удаления теплоизбытков с помощью средств охлаждения воздуха (воздухоохладители, кондиционеры и т.п.) в I и II режимах в качестве расчетных должны приниматься параметры А наружного воздуха, если в техническом задании на проектирование убежища не указаны другие расчетные параметры наружного воздуха. При тепловлажностном расчете следует учитывать тепловыделения от укрываемых, электрического освещения, электросилового оборудования и регенеративных устройств. Поглощение тепла ограждающими конструкциями при расчете средств охлаждения воздуха не учитывается. Количество выделяемых укрываемыми тепла и влаги следует принимать согласно табл. 35. Таблица 35
Тепловыделения от электрического освещения Qосв, ккал/ч, следует определять по формуле Qосв = 860 Nосв, (47) где Nосв - суммарная мощность источников освещения, кВт. 7.8*. Количество наружного воздуха в режиме фильтровентиляции следует определять по формуле где qогр - количество тепла, ккал/ (ч⋅м2), поглощаемого 1 м2 ограждающих конструкций, принимаемое по табл. 36*; Fк - площадь внутренней поверхности ограждающих конструкций, м2; Iв - теплосодержание внутреннего воздуха, принимаемое для 1-й и 2-й климатических зон (по табл. 34*) - 22,5 ккал/кг, для 3-й и 4-й климатических зон - 23,5 ккал/кг; Qт, Iн - обозначения те же, что и в формуле (48). Таблица 36*
Теплопоглощение qогр ограждающими конструкциями должно учитываться только для одного из режимов, - как правило, для II режима. Если в техническом задании на проектирование убежища III режим задан как первый по очередности, то теплопоглощение учитывается только для III режима. Теплопоглощение ограждающими конструкциями убежищ учитывается только при наличии обсыпки. 7.10*. В качестве источника холода для устройств охлаждения воздуха должна предусматриваться вода, хранимая в заглубленных резервуарах или получаемая из водозаборных скважин. Устройство защищенного источника водоснабжения - водозаборных скважин допускается в исключительных случаях и при соответствующем технико-экономическом обосновании в 3-й и 4-й климатических зонах по табл. 34*. 7.11*. Для чистой вентиляции, фильтровентиляции и вентиляции ДЭС воздухозаборы должны быть раздельными. Воздухозаборы чистой вентиляции убежищ, а также вентиляции помещения ДЭС должны размещаться вне завалов зданий и сооружений. Воздухозаборы фильтровентиляции допускается размещать на территории завалов и в предтамбуре убежища. Воздухозабор чистой вентиляции целесообразно совмещать с аварийным выходом из убежища. При этом высоту и расположение воздухозабора следует принимать в соответствии с требованиями СНиП по отоплению, вентиляции и кондиционированию воздуха, а также п. 2.20 настоящих норм. Воздухозаборы чистой вентиляции и фильтровентиляции внутри убежища должны быть соединены между собой воздуховодом сечением, рассчитанным из условий подачи воздуха по режиму фильтровентиляции, с установкой в нем герметического клапана. Воздухозаборы чистой вентиляции и фильтровентиляции должны быть расположены на расстоянии не ближе 10 м от выбросов вытяжных систем вентиляции убежища, помещения ДЭС и оголовка газовыхлопа дизеля. В местах расположения убежищ в городской застройке допускается объединение в общих шахтах с разделительными перегородками, не допускающими перетекания воздуха из канала в канал: а) воздухозаборов чистой вентиляции, фильтровентиляции, вентиляции ДЭС, при этом устройство соединительного воздуховода между воздухозаборами чистой вентиляции и фильтровентиляции предусматривать не следует; б) вытяжных каналов из отдельных помещений убежищ и выхлопной трубы от дизеля. В районах северной строительно-климатической зоны с объемом снегопереноса за зиму 200 м3/ч и более для защиты воздухозаборов и вытяжных устройств от заноса снегом должны быть предусмотрены снегозащитные устройства. 7.12*. Воздуховоды приточных и вытяжных систем, прокладываемые снаружи, выполняются из строительных конструкций, рассчитанных на воздействие ударной волны, или монтируются из стальных электросварных труб по ГОСТ 10704-76 и должны прокладываться с уклоном i ≥ 0,003 в сторону защитного сооружения, при этом перед противовзрывным устройством следует предусматривать отвод конденсата. Из стальных труб следует изготовлять воздуховоды, прокладываемые внутри помещений до герметических клапанов, соединительные воздуховоды между воздухозаборами чистой вентиляции и фильтровентиляции, а также патрубки для установки герметических клапанов в стенах. Воздуховоды фильтров-поглотителей и регенеративных установок необходимо изготовлять из листовой стали толщиной 2 мм. Воздуховоды внутри помещения после герметических клапанов и фильтров следует изготовлять из листовой стали в соответствии с требованиями СНиП по проектированию отопления, вентиляции и кондиционирования воздуха. Длина воздуховода от вентилятора до наиболее удаленного вентиляционного отверстия должна быть для систем вентиляции с электроручными вентиляторами не более 30 м, для систем, оборудованных промышленными вентиляторами с электроприводами, - как правило, не более 50 м. Воздуховоды, по которым транспортируется воздух с высокой температурой, должны быть теплоизолированы. 7.13*. На воздухозаборах и вытяжных устройствах следует предусматривать установку противовзрывных устройств, имеющих расширительные камеры и характеристики согласно прил. 6*. Противовозрывные устройства следует размещать в пределах защитных сооружений с обеспечением доступа к ним для осмотра и ремонта. 7.14*. В системах вентиляции следует предусматривать герметические клапаны, рассчитанные на давление не менее 1 кгс/см2, с ручным приводом диаметром до 600 мм включительно и с электроприводом при наличии ДЭС и диаметре свыше 600 мм. В воздуховодах, проходящих через линию герметизации, для осмотра и очистки герметических клапанов изнутри после них (со стороны внутренних помещений) следует предусматривать люк-вставку. На воздуховодах системы вентиляции перед фильтрами и после них следует предусматривать штуцеры с лабораторными кранами для отбора проб воздуха. 7.15*. Вентиляторы для систем вентиляции убежищ без ДЭС следует предусматривать с электроручным приводом согласно прил. 7* , в убежищах с защищенным источником электроснабжения - с электрическим. Вентиляторы с электроручным приводом следует применять для вентиляции убежищ вместимостью до 600 чел., расположенных в 1-й и 2-й климатических зонах (по табл. 34*), а также убежищ (без воздухоохлаждающих установок) при вместимости до 450 и 300 чел., расположенных соответственно в 3-й и 4-й климатических зонах (по табл. 34*). В режиме чистой вентиляции убежищ следует предусматривать использование электроручных вентиляторов. входящих в систему фильтровентиляции (II режим). При недостаточной производительности этих вентиляторов для I режиме необходимо предусматривать установку дополнительных электроручных вентиляторов. На каждом электроручном вентиляторе (в убежище без ДЭС) следует предусматривать установку обратного клапана - указателя расхода воздуха. При этом аэродинамическое сопротивление системы чистой вентиляции убежища не должно превышать полного напора, развиваемого вентиляторами ЭРВ-72. Это допускается обеспечивать за счет увеличения числа параллельно работающих противовзрывных устройств и противопыльных фильтров. При параллельной работе электроручных вентиляторов ЭРВ-600/300 с ЭРВ-72 следует предусматривать производительность не менее: ЭРВ-72-2 - 900 м3/ч и ЭРВ-72-3 - 1300 м3/ч. При определении количества электроручных вентиляторов, устанавливаемых параллельно, следует вводить поправочный коэффициент на их производительность, равный 0,8. Резервные вентиляторы предусматривать не следует. 7.16*. Очистку наружного воздуха от пыли при режиме чистой вентиляции и фильтровентиляции, как правило, следует предусматривать по одноступенчатой схеме - в сдвоенных (располагаемых последовательно) фильтрах ФЯР. В случае применения предфильтров ПФП-1000 очистку наружного воздуха от пыли следует предусматривать по двухступенчатой схеме. В качестве первой ступени следует использовать фильтры ФЯР и другие фильтры с коэффициентом очистки не менее 0,8. Если в период мирного времени очистка наружного воздуха от пыли не требуется, то следует предусматривать возможность демонтажа ячеек фильтров ФЯР, а при наличии предфильтров ПФП-1000 - обводную линию. Очистку наружного воздуха от газообразных и аэрозольных средств массового поражения следует производить: при применении промышленных вентиляторов с электроприводом - в фильтрах-поглотителях ФП-300; при применении электроручных вентиляторов - в фильтрах-поглотителях ФПУ-200. Регенерацию внутреннего воздуха убежищ при III режиме следует предусматривать в установках РУ-150/6. Очистку от окиси углерода наружного воздуха, подаваемого в убежище по режиму регенерации для создания подпора, следует предусматривать в фильтрах ФГ-70. При применении РУ-150/6 и фильтров ФГ-70 следует предусматривать после них установку воздухоохладителей, а перед фильтрами ФГ-70 - электронагревателей, предназначенных для убежищ, с целью подогрева наружного воздуха до 60 °С. Регенеративные установки РУ-150/6 и фильтры ФГ-70 следует устанавливать в отдельных помещениях, ограждающие конструкции которых, граничащие с внутренними помещениями убежищ, должны быть теплоизолированы. При применении гравийного охладителя для обслуживания надгравийного и подгравийного пространства в его ограждении следует предусматривать герметические ставни. 7.17*. В системе чистой вентиляции допускается предусматривать установку калориферов с запорной арматурой для подогрева наружного воздуха в мирное время. В убежищах для нетранспортабельных больных при необходимости допускается предусматривать подогрев воздуха и в военное время. При электроручных вентиляторах калориферы должны устанавливаться на обводной линии. 7.18* Приточная система вентиляции убежища должна обеспечивать подачу воздуха в помещение для укрываемых - пропорционально их количеству и во вспомогательные помещения - из расчета ассимиляции тепло- и влагоизбытков и разбавления выделяющихся вредностей. При фильтровентиляции и регенерации следует предусматривать рециркуляцию воздуха а объеме, обеспечивающем сохранение в системе количества воздуха, подаваемого при чистой вентиляции, - в убежищах с электровентиляторами и сохранение в системе не менее 70% количества воздуха, подаваемого при чистой вентиляции, - в убежищах с электроручными вентиляторами. Подача воздуха в помещения для укрываемых методом перетекания не допускается. В убежищах для нетранспортабельных больных рециркуляция воздуха не допускается. При наличии в составе убежища станции перекачки дренажных вод в ней следует предусматривать вытяжную систему вентиляции, работающую при продувке тамбура насосной за счет подпора в сооружении, равного 5 кгс/м2. При одном общем помещении для укрываемых воздух для рециркуляции допускается забирать из помещения сосредоточенно. При размещении укрываемых в двух и более помещениях вытяжную вентиляцию и забор воздуха для рециркуляции следует предусматривать из каждого помещения, используя для рециркуляции воздуховоды вытяжной системы. В помещении для хранения продовольствия и в помещении баллонной следует предусматривать вытяжную вентиляцию из расчета двухкратного воздухообмена в 1 ч. Приток воздуха в помещение для хранения продовольствия. электрощитовую и баллонную следует осуществлять методом перетекания из помещения для укрываемых с установкой на притоке в баллонную герметического клапана с ручным приводом. Удаление воздуха из убежища следует предусматривать через санитарные узлы, дизельную и непосредственно из помещения для укрываемых. При вентиляции санузлов расход воздуха в I режиме вентиляции следует принимать 50 м3/ч от каждого унитаза и 25 м3/ч от каждого писсуара. Для II режима вентиляции допускается снижать указанную норму расхода воздуха от унитаза до 25 м3/ч. Вытяжные воздуховоды из отдельных помещений убежища, если это не противоречит требованиям СНиП по проектированию отопления, вентиляции и кондиционирования воздуха, рекомендуется объединять. 7.19*. Для обеспечения отдельных выходов укрываемых из убежища на поверхность и входа обратно при режиме фильтровентиляции следует предусматривать вентиляцию тамбура одного из входов. При этом количество подаваемого воздуха в этот тамбур в 1 ч должно составлять не менее 25-кратного объема тамбура при продолжительности вентилирования до 6 мин. Аналогичные требования предъявляются к вентиляции тамбура станции перекачки дренажных вод. Вентиляция тамбура должна производиться методом перетекания за счет подпора в убежище с помощью клапанов избыточного давления, предусматриваемых на внутренней и наружной стенах тамбура. с установкой на наружном КИДе противовзрывного устройства МЗС или непосредственно от системы фильтровентиляции. При этом производительность вентиляционной системы режима фильтровентиляции увеличивать не следует. Для сохранения величины эксплуатационного подпора на период проветривания тамбура следует при необходимости предусматривать отключение вытяжных систем вентиляции. 7.20*. Для обеспечения эксплуатационного подпора 5 кгс/м2 при II режиме количество приточного воздуха LII, м3/ч, в убежище должно быть не менее суммы величин, компенсирующих утечки через ограждения, вытяжку из санузлов, станции перекачки дренажных вод (при наличии ее в составе убежища), а также перетекание воздуха из убежища в помещение ДЭС (при вентиляции ДЭС воздухом убежища): LII ≥ КIIFогр + Lсу + Lсп + LДЭС, (48б) где КII - удельная утечка воздуха, м3/ч, через 1 м2 ограждений по контуру герметизации убежища (принимается по прил. 1*); Fогр - площадь ограждающих конструкций убежища по контуру герметизации, м2; Lcy - количество воздуха, удаляемого из санузлов, м3/ч; Lсп - количество воздуха, удаляемого из станции перекачки дренажных вод, м3/ч; LДЭС - количество воздуха, поступающего в помещение ДЭС из помещений для укрываемых при II режиме, м3/ч. Для обеспечения нормируемого эксплуатационного подпора при III режиме количество приточного воздуха LIII, м3/ч, следует определять по формуле LIII = КIIIFогр, м3/ч, (48в) где КIII - удельная утечка воздуха, м3/ч, через 1 м ограждений по контуру герметизации убежища (принимается по прил. 1*); Fогр - обозначение то же, что и в формуле (486). Последовательность проведения расчетов по определению запасов сжатого воздуха для создания подпора в убежищах с III режимом приведена в прил. 13*. В режиме чистой вентиляции общее количество удаляемого воздуха должно составлять 0,9 объема приточного воздуха. Контроль за подпором воздуха в убежище (в помещениях для укрываемых, ДЭС и станции перекачки) следует осуществлять с помощью тягонапоромера, соединенного с атмосферой водогазопровод-ной оцинкованной трубой диаметром 15 мм с запорным устройством. Вывод трубы от подпоромера в атмосферу следует производить в зону, в которой отсутствует влияние потоков воздуха при работе систем вентиляции убежища. 7.21*. Удаление воздуха следует предусматривать за счет подпора воздуха в помещении убежища или с помощью вытяжных вентиляторов, установка которых допускается совместно с приточными вентиляторами. Аэродинамическое сопротивление вытяжных систем при удалении воздуха за счет подпора не должно превышать 5 кгс/м2, при этом допускается предусматривать увеличение количества противовзрывных устройств, а размещение шахт следует предусматривать на территории вне завалов. При удалении воздуха электровентиляторами и электроручными вентиляторами аэродинамическое сопротивление вытяжных систем определяется расчетом. Вытяжные шахты этих систем допускается размещать на территории завалов, учитывая сопротивление завала, равное 5 кгс/м2. 7.22. Систему отопления помещений, приспосабливаемых под убежище, следует проектировать в виде самостоятельного ответвления от общей отопительной сети здания, отключаемого при заполнении убежища. Запорную арматуру на вводах подающего и обратного трубопроводов следует устанавливать в пределах убежища. При расчете систем отопления температуру этих помещений в холодное время года следует принимать 10°С, если по условиям эксплуатации их в мирное время не требуется более высокая температура. Вид теплоносителя и тип нагревательных приборов выбираются из условий эксплуатации помещений в мирное время. ВЕНТИЛЯЦИЯ ДИЗЕЛЬНЫХ ЭЛЕКТРИЧЕСКИХ СТАНЦИЙ «ДЭС» 7.23*. В помещении ДЭС следует предусматривать приточно-вытяжную вентиляцию для работы при I и II режимах вентиляции убежища, рассчитанную на удаление тепла и газообразных вредностей, выделяемых в помещение дизель-генератором, а также на снабжение дизеля воздухом для горения топлива. Удаление тепловыделений, поступающих в помещение ДЭС от дизель-генератора при III режиме, следует предусматривать воздухоохлаждающей установкой. При этом забор воздуха для работы дизеля следует осуществлять снаружи через гравийный воздухоохладитель, а обслуживающий персонал должен пользоваться изолирующими противогазами. Тепловыделения от дизель-генераторов следует принимать по данным каталогов или определять расчетом. В помещении электрощитовой следует предусматривать приточно-вытяжную вентиляцию, соединенную с общей системой и рассчитанную на удаление тепла, выделяющегося от установленного в ней оборудования. Расположение воздухозаборных и вытяжных шахт систем вентиляции ДЭС принимается в соответствии с пп. 7.11* и 7.21* настоящих норм. 7.24. Производительность Lв, м3/ч, вентиляционной системы для помещения ДЭС следует определять по формуле
где Qд - количество выделяемого тепла в помещении ДЭС, ккал/ч; с - теплоемкость воздуха, принимаемая 0,24 ккал/(кг⋅°С); γ - объемный вес воздуха, принимаемый 1,2 кг/м3; tв - температура воздуха в помещении ДЭС, принимаемая 40°С; tн - расчетная среднемесячная температура наружного воздуха самого жаркого месяца при вентиляции помещения ДЭС наружным воздухом или температура воздуха в основных помещениях убежища при вентиляции перетекающим воздухом. При определении производительности вентиляционной системы для режима фильтровентиляции в ДЭС воздухом, перетекающим из убежища, следует учитывать тепло, поглощаемое ограждающими конструкциями. При вентиляции помещения ДЭС наружным воздухом и при применении воздухоохлаждающих установок поглощение тепла ограждающими конструкциями не учитывается. 7.25. Количество тепла, поступающего в помещение ДЭС от дизеля Qдз, ккал/ч, следует определять по формуле Qдз = КтNэВb, (50) где Кт - коэффициент, учитывающий количество выделяемого дизелем тепла, принимается при водовоздушной (радиаторной) системе охлаждения равным 0,35, при водо-водяной - 0,08; Nэ - эффективная мощность дизеля, л.с.; В - теплотворная способность топлива, ккал/кг; b - удельный расход топлива, кг/(л.с⋅ч). Примечание. При отсутствии точных данных допускается принимать В = 10000 ккал/кг, b = 0,19 кг/(л.с⋅ч). 7.26*. Тепловыделения Qэ, ккал/ч, поступающие в помещение ДЭС от генератора и электродвигателей, определяются по формуле
где Ny - установленная мощность генератора, электродвигателя, кВт; η - коэффициент полезного действия генератора, электродвигателя при номинальной нагрузке. 7.27*. Вентиляцию помещений ДЭС, оборудованных агрегатами с радиаторным (водовоздушным) охлаждением с невынесенным узлом охлаждения, в которых предусмотрена возможность перевода на двухконтурное (водо-водяное) охлаждение, следует проектировать: для I и II режимов - воздухом, перетекающим из основных помещений убежища, или при его недостатке - наружным воздухом, очищенным от пыли; в последнем случае при II режиме обслуживающий персонал должен работать в противогазах; для III режима - удаление тепловыделений, поступающих в помещение ДЭС от дизель-генератора и электродвигателей, предусматривается с помощью воздухоохлаждающей установки. При II и ПI режимах следует предусматривать перевод агрегата на водяную систему охлаждения с отводом основных тепловыделений с помощью оборотной воды, хранящейся в резервуарах ДЭС. Объем воды в резервуарах для охлаждения дизеля определяется из расчета суммарной продолжительности II и III режимов. При проектировании ДЭС с использованием дизель-генераторов, оборудованных комбинированной или радиаторной системами охлаждения и имеющих выносной (смонтированный на отдельной раме) узел охлаждения, последний целесообразно размещать в изолированном помещении с герметичными стенами, отделяющими его от ДЭС и убежища. Вход из этого помещения в ДЭС оборудуется двумя герметическими дверями. В этом случае в I и II режимах вентиляции удаление тепла из помещения узла охлаждения предусматривается наружным воздухом, а вентиляция помещения машинного зала - воздухом, перетекающим из помещений для укрываемых. В III режиме вентиляции агрегаты с комбинированной системой охлаждения переключаются на водяную систему охлаждения, а тепло из машинного зала удаляется воздухоохлаждающей установкой. 7.28. Вентиляция помещений ДЭС, оборудованных агрегатами с водо-водяной или прямоточной системами охлаждения при режиме чистой вентиляции и фильтровентиляции основных помещений убежища, должна предусматриваться, как правило, воздухом, поступающим из помещений для укрываемых. Объем воды в резервуарах для охлаждения дизеля определяется из расчета продолжительности всего периода работы убежища. При режиме фильтровентиляции, когда недостаточно воздуха, поступающего из помещений для укрываемых, следует предусматривать вентиляцию помещений ДЭС наружным воздухом с очисткой его от пыли. При режиме регенерации удаление тепловыделений из помещения машинного зала осуществляется так же, как и в случав применения агрегатов с водовоздушной системой охлаждения согласно п. 7.27* настоящих норм. 7.29. В тамбуре между убежищем и ДЭС следует предусматривать вентиляцию: при вентиляции помещения ДЭС наружным воздухом - по принципу, указанному в п. 7.19* настоящих норм; при вентиляции помещения ДЭС воздухом, поступающим из помещения для укрываемых, - через клапаны избыточного давления диаметром 150 мм, устанавливаемые по одному на внутренней и наружной стенах тамбура. 7.30*. Для вентиляции помещения ДЭС следует предусматривать установку приточного и вытяжного или только вытяжного вентиляторов. При этом приточная система должна обеспечивать подачу в помещение ДЭС воздуха за счет разрежения, создаваемого вытяжным вентилятором. В зависимости от принятой системы вентиляции в помещении ДЭС следует поддерживать следующие уровни давления (разрежения): а) при вентиляции машинного зала ДЭС наружным воздухом для режимов чистой вентиляции и фильтровентиляции убежищ при установке: приточного и вытяжного вентиляторов - давление не выше атмосферного; только вытяжного вентилятора - разрежение, равное сопротивлению тракта приточной системы, но не более 30 кгс/м2; б) при вентиляции машинного зала воздухом, поступающим из помещения для укрываемых, для режимов: чистой вентиляции - давление, равное атмосферному; фильтровентиляции - разрежение, равное 2 - 3 кгс/м2, по отношению к помещениям для укрываемых. В помещении выносного узла охлаждения при I и II режимах следует предусматривать разрежение в пределах 0,2 - 30 кгс/м2. 7.31. В машинном зале ДЭС на вентиляционных системах устанавливаются герметические клапаны: при вентиляции машинного зала воздухом, поступающим из помещения для укрываемых; при наличии режима регенерации. 7.32. Подачу воздуха к дизелям на горение следует предусматривать при режиме регенерации - снаружи, предусматривая на воздухозаборе гравийный охладитель, при других режимах - из помещения машинного зала. При наличии в убежище охлажденной воды вместо гравийного охладителя допускается применять калориферную установку. 7.33*. Гравийные охладители для охлаждения наружного воздуха, забираемого на горение топлива в дизелях при III режиме вентиляции, и для охлаждения воздуха, выходящего из фильтров ФГ-70 и регенеративных установок РУ-150/6, следует предусматривать в виде железобетонных коробов, заполненных гравием или гранитным щебнем крупностью 30 - 40 мм, которые укладываются на решетку с отверстиями не более 25х25 мм. Высота слоя гравия (щебня) в охладителе Hг, м, определяется по формулам: для воздухоохладителей, охлаждающих воздух от 150 до 30°С (наружный воздух на горение топлива в дизелях и воздух после РУ-150/6), Hг = 0,25 + 0,005 для воздухоохладителей, охлаждающих воздух от 300 до 30°С (воздух после ФГ-70) , Нг = 0,25 + 0,0075 где L - расчетное количество охлаждаемого воздуха, м3/ч; F - площадь сечения в свету короба охладителя (перпендикулярно направлению движения воздуха), м2. При этом должны соблюдаться условия: в воздухоохладителях для дизелей и РУ-150/6 - Аэродинамическое сопротивление охладителей при этих условиях и высоте засыпки не более 2 м составит 5-7 кгс/м2. 7.34*. Стартерные аккумуляторы, размещаемые в ДЭС, должны вентилироваться естественным путем через жалюзийные решетки, расположенные в нижней части шкафа. Шкаф должен иметь плоский верх и вытяжной воздуховод. Воздуховод следует выполнять из стальной бесшовной трубы диаметром 45 мм, врезанной в плоский верх шкафа. Прокладка воздуховода по помещению должна производиться с уклоном в сторону шкафа. На воздуховоде вплотную к шкафу должна быть установлена запорная арматура (вентиль, задвижка или пробковый кран). Воздуховод выводится за пределы убежища и крепится к вытяжной шахте на высоте установки жалюзийной решетки. Для защиты вытяжного воздуховода от атмосферных осадков воздуховод следует заканчивать полуотводом. Установка на вытяжном воздуховоде противовзрывного устройства и расширительной камеры не требуется. Хранение заряженных аккумуляторных батарей в шкафу в мирное время допускается при открытом вытяжном воздуховоде. Заряд аккумуляторных батарей в пределах убежища в мирное время и в период эксплуатации убежища не допускается. ВЕНТИЛЯЦИЯ И ОТОПЛЕНИЕ ПРОТИВОРАДИАЦИОННЫХ УКРЫТИЙ 7.35*. В противорадиационных укрытиях следует предусматривать естественную вентиляцию или вентиляцию с механическим побуждением. Естественная вентиляция предусматривается в противорадиационных укрытиях вместимостью до 50 чел. В остальных случаях следует предусматривать вентиляцию с механическим побуждением. В противорадиационных укрытиях для учреждений здравоохранения должна быть обеспечена вентиляция с механическим побуждением независимо от их вместимости. 7.36*. Количество наружного воздуха, подаваемого в подвальные и цокольные помещения, приспосабливаемые под противорадиационные укрытия для населения, следует принимать по табл. 34*, а для учреждений здравоохранения - по табл. 34* с коэффициентом 1,5. Количество подаваемого наружного воздуха в помещения ПРУ для детей до 11 лет, беременных женщин и кормящих матерей следует определять расчетом по формуле (48). 7.37*. Воздуховоды, прокладываемые за пределами помещений ПРУ, расположенных в зоне слабых разрушений, выполняются из листовой стали. В остальных случаях воздуховоды ПРУ принимаются в соответствии с требованиями СНиП по проектированию отопления, вентиляции и кондиционирования воздуха. 7.38*. Естественная вентиляция противорадиационных укрытий, размешенных в подвальных и цокольных этажах зданий, осуществляется за счет теплового напора через воздухозаборные и вытяжные шахты. Отверстия для подачи приточного воздуха следует располагать у пола помещений, вытяжные - у потолка. 7.39*. Площадь сечения приточных и вытяжных воздуховодов системы естественной вентиляции следует принимать по табл. 37 в зависимости от высоты вытяжного канала и расчетной температуры наружного воздуха, соответствующей параметру А. 7.40*. Естественная вентиляция противорадиационных укрытий, размещаемых в первых этажах зданий, должна осуществляться через проемы, устраиваемые в верхней части окон или в стенах, с учетом увеличения воздухоподачи в 1,5 раза против норм, установленных в табл. 34*. Вентиляционные проемы следует предусматривать с противоположных сторон укрытия, обеспечивая сквозное проветривание. Приточные вентиляционные проемы следует оборудовать устройствами для регулирования воздухоподачи. Общую площадь сечения проемов, устраиваемых в незаделываемой части окон укрытий, следует принимать: 2-3 % площади пола укрытия для 1-й и 2-й климатических зон и 5-7 % для 3-й и 4-й климатических зон по табл. 34* настоящих норм. Таблица 37
Площадь сечения проемов, располагаемых с противоположной стороны и используемых для вытяжки, следует принимать равной площади сечения проемов, используемых для притока. 7.41*. В случае, если проемы располагаются с одной стороны здания и используются для притока воздуха, следует предусматривать устройство дополнительного вытяжного воздуховода, площадь сечения которого должна определяться по табл. 37. При расположении воздухоприемных и выбросных вентиляционных проемов ПРУ с одной стороны здания удаление их друг от друга должно приниматься на расстоянии не менее 10 м. При применении в ПРУ общепромышленных вентиляторов с электроприводом следует предусматривать резервную вентиляцию из расчета 3 м3/чел.-ч. Резервная вентиляция в этом случае осуществляется с применением электроручных вентиляторов. Вентиляцию с механическим побуждением в противорадиационных укрытиях рекомендуется предусматривать с применением электроручных вентиляторов ЭРВ-72. В этом случае резервная вентиляция не предусматривается. Очистку от пыли воздуха, подаваемого в помещение ПРУ механической системой вентиляции, следует предусматривать в фильтрах ФЯР и др. с коэффициентом очистки не менее 0,8. 7.42*. Система отопления укрытий должна проектироваться общей с отопительной системой здания или при обосновании - в виде отдельной ветки и иметь устройства для отключения. При расчете системы отопления температуру помещений в холодное время года следует принимать равной 10°С, если по условиям эксплуатации в мирное время не требуется более высокой температуры. Подогрев воздуха, подаваемого в помещения ПРУ в мирное время, следует предусматривать в соответствии с требованиями СНиП по проектированию отопления, вентиляции и кондиционирования воздуха. В помещениях, не отапливаемых по условиям мирного времени, следует предусматривать место для установки временных подогревающих устройств в соответствии с требованиями СНиП по проектированию отопления, вентиляции и кондиционирования воздуха. ВОДОСНАБЖЕНИЕ И КАНАЛИЗАЦИЯ УБЕЖИЩ И ДЭС 7.43*. Водоснабжение убежищ и ДЭС следует предусматривать от наружной водопроводной сети или заводомерной сети с установкой на вводе внутри убежища запорной арматуры и обратного клапана. В убежищах следует предусматривать запас питьевой воды в емкостях из расчета 3 л/сут на каждого укрываемого. Качество воды на хозяйственно-питьевые нужды должно удовлетворять требованиям ГОСТ 2874-82. В убежищах лечебных учреждений для нетранспортабельных больных запас питьевой воды в проточных емкостях принимается из расчета 20 л/сут на каждого укрываемого больного и 3 л/сут на каждого медицинского работника; запас воды для технических нужд, хранимый в резервуарах, определяется по расчету. При применении в убежищах унитазов вагонного типа необходимо предусматривать запас воды из расчета 5 л/сут на каждого укрываемого. Помещения медпунктов в убежищах следует оборудовать умывальниками, работающими от водопроводной сети. На случай прекращения подачи воды следует предусматривать переносной рукомойник и запас воды к нему из расчета 10 л/сут. Медицинские помещения (операционные, родовые и т. п.) в убежищах учреждений здравоохранения следует оснащать санитарно-техническим оборудованием согласно техническим требованиям для лечебных учреждений. 7.44*. Емкости запаса питьевой воды, как правило, должны быть проточными, с обеспечением полного обмена воды в течение 2 сут. В убежищах, в которых не предусматривается расход воды в мирное время, а также в убежищах вместимостью менее 300 чел. допускается применение для запаса питьевой воды сухих емкостей, заполняемых при приведении убежищ в готовность. Проточные емкости и трубы, по которым циркулирует водопроводная вода, должны иметь тепло- и пароизоляцию). 7.45*. Емкости запаса питьевой воды должны быть оборудованы водоуказателями и иметь люки для возможности очистки и окраски внутренних поверхностей. В помещениях, где установлены емкости, следует предусматривать установку водоразборных кранов из расчета один кран на 300 чел., а в убежищах вместимостью более 1000 чел. и в убежищах для нетранспортабельных больных разводить трубы к местам водоразбора из расчета один кран на 300 здоровых укрываемых или 100 нетранспортабельных больных. При транспортировании и хранении воды питьевого качества должны применяться материалы для сооружений, устройств и установок, труб, емкостей и их внутренних антикоррозионных покрытий, разрешенные Главным санитарно-эпидемиологическим управлением Минздрава СССР для применения в практике хозяйственно-питьевого водоснабжения. Подачу воды к умывальникам и смывным бачкам (кроме убежищ для нетранспортабельных больных) следует предусматривать только в период поступления воды из наружной сети. Нормы водопотребления и водоотведения при действующей наружной водопроводной сети должны приниматься в соответствии с требованиями СНиП по проектированию внутреннего водопровода и канализации зданий, принимая при этом часовой расход воды 2 л/ч и суточный 25 л/сут на одного укрываемого и q0 равным 0,1 л/с для водопотребления и 0,85 л/с для водоотведения. 7.46*. Для снабжения водой воздухоохлаждающих установок и дизель-генераторов с водо-водяной или радиаторной с переводом на водяную системами охлаждения следует предусматривать запас воды в резервуарах объемом, обеспечивающим работу в течение расчетного срока. При наличии защищенной водозаборной скважины следует предусматривать возможность подачи воды от нее для хозяйственно-питьевых нужд и пожаротушения без установки резервуаров для запаса воды. Водозаборные скважины следует проектировать на группу убежищ, подключая их к ближайшим потребителям с целью использования в качестве источника водоснабжения предприятия в мирное время. 7.47*. В убежищах следует предусматривать устройство уборных с отводом сточных вод в наружную канализационную сеть по самостоятельным выпускам самотеком или путем перекачки с установкой задвижек внутри убежищ. При наличии в убежище станции перекачки дренажных вод воду от охлаждающих установок убежища, дизельной и внутренние дренажные воды допускается сбрасывать в резервуар станции перекачки дренажных вод. На трубах, проходящих через ограждающие конструкции станции, со стороны убежища следует устанавливать запорную арматуру. В качестве санитарных приборов наряду с унитазами допускается применять напольные чаши и унитазы вагонного типа. При проектировании санитарных приборов, борта которых расположены ниже уровня люка ближайшего смотрового колодца, следует предусматривать мероприятия, исключающие затопление убежищ сточными водами, приведенные в СНиП по проектированию внутреннего водопровода и канализации зданий. Производственные воды от дизеля и охлаждающих установок должны отводиться в хозяйственно-бытовую или ливневую канализацию. Допускается отметку пола у санитарных приборов поднимать выше отметки пола помещения. При этом высота от пола у приборов до потолка должна быть не менее 1,7 м. Вентиляция канализационной сети убежищ не предусматривается. При этом пропускная способность стояка не должна превышать норм, приведенных в СНиП по проектированию внутреннего водопровода и канализации зданий. 7.48*. Станцию перекачки и приемные резервуары при напорном отводе сточных вод во внешнюю канализацию следует размещать за пределами убежищ, при этом защита их не требуется. В отдельных случаях допускается размещать насосы в незащищенных подвальных помещениях, прилегающих к убежищу, с учетом требований СНиП по проектированию внутреннего водопровода и канализации зданий. При использовании санитарных узлов только в период пребывания укрываемых, как правило, совмещают аварийный (см. п. 7.49*) и приемный резервуары для сбора стоков и размещают совмещенный резервуар и станцию перекачки в пределах убежища. В этом случае насосы в станции перекачки допускается устанавливать без резерва. В убежищах для нетранспортабельных больных станция перекачки стоков в пределах убежища предусматривается во всех случаях с возможностью подачи стоков в бытовую канализацию и аварийного сброса на поверхность земли. При необходимости использования в мирное время не более двух унитазов следует пользоваться санитарными узлами, расположенными вне убежищ. 7.49*. В помещении санитарного узла убежища необходимо предусматривать аварийный резервуар для сбора стоков с возможностью его очистки. В перекрытии резервуара следует устраивать отверстия, используемые вместо унитазов и закрываемые крышками. Объем резервуара следует определять из расчета 2 л/сут на каждого укрываемого. В убежищах лечебных учреждений для нетранспортабельных больных объем резервуара следует определять из расчета 2 л на каждого медицинского работника и 18 л на каждого укрываемого больного в сутки. При применении в санитарных узлах унитазов вагонного типа отверстия в перекрытии резервуара не предусматриваются. Смыв стоков из аварийного резервуара следует предусматривать в приемный резервуар насосной станции. При наличии защищенных источников водоснабжения и электроснабжения и обеспечении аварийного сброса сточных вод на поверхность, по согласованию с санитарно-эпидемиологической службой, устройство аварийных резервуаров допускается не предусматривать. 7.50. Для сбора сухих отбросов следует предусматривать места для размещения бумажных мешков или пакетов из расчета 1 л/сут на каждого укрываемого. 7.51. В помещениях, приспосабливаемых под убежища и расположенных в неканализованных районах, допускается предусматривать устройство пудр-клозета или резервуаров-выгребов с возможностью удаления нечистот ассенизационным транспортом. ВОДОСНАБЖЕНИЕ И КАНАЛИЗАЦИЯ ПРОТИВОРАДИАЦИОННЫХ УКРЫТИЙ 7.52*. Водоснабжение противорадиационных укрытий следует предусматривать от наружной или внутренней водопроводной сети, проектируемой по условиям эксплуатации помещений в мирное время. Нормы водопотребления и водоотведения при действующей наружной водопроводной сети должны приниматься в соответствии с требованиями п. 7.45* настоящих норм. При отсутствии водопровода в укрытиях необходимо предусматривать места для размещения переносных баков для питьевой воды из расчета 2 л/сут на одного укрываемого. При наличии в составе ПРУ медпункта его водоснабжение и канализацию следует выполнять в соответствии с требованиями пп. 7.43* и 7.49* настоящих норм. 7.53. В укрытиях, расположенных в зданиях с канализацией, следует предусматривать устройство промывных уборных с отводом сточных вод в наружную канализационную сеть. Допускается отметку пола у санитарных приборов поднимать выше отметки пола помещения. При этом высота от пола у приборов до потолка должна быть не менее 1,7 м. 7.54. При отводе сточных вод из помещений подвалов самотеком следует предусматривать меры, исключающие затопление подвала сточными водами при подпоре в наружной канализационной сети. 7.55. В неканализованных помещениях необходимо предусматривать пудр-клозет или резервуар-выгреб для сбора нечистот с возможностью его очистки ассенизационным транспортом. Емкость резервуара следует принимать из расчета 2 л/сут на одного укрываемого. 7.56. В помещениях, приспосабливаемых под противорадиационные укрытия вместимостью 20 чел. и менее, при отсутствии канализации для приема нечистот следует использовать плотно закрываемую выносную тару. 7.57. При расположении противорадиационных укрытий в подвальных помещениях, не имеющих присоединений к канализационной системе, или при невозможности отвода стоков от санитарных приборов в наружную канализацию самотеком необходимо предусматривать насосную станцию перекачки в соответствии с требованиями п. 7.48* настоящих норм. 8* ЭЛЕКТРОТЕХНИЧЕСКИЕ УСТРОЙСТВА И СВЯЗЬ ЭЛЕКТРОСНАБЖЕНИЕ И ЭЛЕКТРООБОРУДОВАНИЕ 8.1*. Электроснабжение и электрооборудование убежищ следует проектировать в соответствии с требованиями инструкций по проектированию электроснабжения, силового и осветительного электрооборудования промышленных предприятий, Правил устройства электроустановок (ПУЭ) и настоящих норм. По надежности электроснабжения электроприемники убежищ следует относить ко второй категории. Электроснабжение убежищ должно осуществляться от сети города (предприятия). Электроснабжение убежищ для нетранспортабельных больных при наличии операционного блока должно осуществляться от двух независимых источников города (предприятия). При невозможности использования электроручных вентиляторов в соответствии с п. 7.15* настоящих норм в убежищах следует предусматривать защищенный источник электроснабжения (ДЭС). В убежищах, имеющих режим регенерации или воздухоохлаждающие установки, а также в убежищах для нетранспортабельных больных следует предусматривать защищенный источник электроснабжения (ДЭС) независимо от вместимости убежищ. Для размещения вводных устройств, распределительных щитов и щитов управления дизель-генераторами в убежище следует предусматривать помещение электрощитовой, изолированное от ДЭС и имеющее вход из помещения для укрываемых. Электроснабжение противорадиационных укрытий следует проектировать только от внешней сети города (предприятия), поселка. Электроснабжение противорадиационных укрытий учреждений здравоохранения, размещаемых в больницах хирургического профиля и в родильных домах, следует проектировать от двух независимых источников электропитания. 8.2. Электрические кабели от внешней сети города или групповой ДЭС на вводе в убежище должны иметь компенсационную петлю (в коробе); прокладку кабелей через стены следует предусматривать в закладных стальных трубах с последующей заделкой кабельной мастикой. Присоединение кабеля электроснабжения от питающей сети здания во встроенных убежищах следует предусматривать до вводного коммутационного аппарата. Прокладку кабельных линий от ДЭС, питающей группу убежищ, следует предусматривать в траншее глубиной не менее 0,7 м. 8.3*. На вводе кабеля в убежище необходимо предусматривать установку вводно-распределительного устройства, которое, как и распределительные и групповые щиты, должно быть в защищенном исполнении. Установку аппаратов защиты следует предусматривать на вводе питающей линии в убежище, а также на каждой линии, отходящей от распределительного и осветительного щитов. Переключение электропитания от внешних вводов на ДЭС должно осуществляться вручную. 8.4. Для распределения электроэнергии к силовым распределительным щитам и групповым осветительным щитам следует предусматривать магистральную схему питающих линий, а для убежищ вместимостью 1200 чел. и более - радиально-магистральную схему. Питание силовых электроприемников и рабочего освещения должно осуществляться по самостоятельным линиям. Вся электропроводка в сооружении должна выполняться изолированным проводом или кабелями с алюминиевыми жилами. 8.5. Кабели внешней сети должны рассчитываться на наибольшую расчетную нагрузку в I и II режимах работы убежища с учетом коэффициента спроса. Расчетную нагрузку линии, к которой подключен один электроприемник, следует определять с коэффициентом спроса 1, а электроплиты - 1,2. Коэффициенты спроса для расчета линий, питающих вентиляторы, насосы и кондиционеры, следует принимать: при трех и менее присоединяемых электроприемниках - 1, при четырех и более - 0,8. Коэффициенты спроса для расчета групповой сети освещения помещений убежища следует принимать равными единице. 8.6*. Для силовых электроприемников убежища следует применять магнитные пускатели в защищенном исполнении. Для электроприемников мощностью до 2 кВт следует, как правило, использовать автоматические выключатели (по типу АП50-ЗМТ,АК-63 и др.). Управление электродвигателями вентиляторов и насосов убежища должно предусматриваться местное и только в обоснованных случаях - дистанционное. 8.7. Категорию помещений убежища по условиям среды следует определять в зависимости от использования помещений в мирное время. При определении категории помещения по условиям среды временное, до 2 сут, повышение влажности в помещении до 75% и более, которое возможно в режиме убежища, допускается не учитывать. 8.8. Все металлические части электроустановок должны быть надежно заземлены в соответствии с требованиями ПУЭ и "Инструкции по выполнению сетей заземления и зануления в электроустановках". ЭЛЕКТРООСВЕЩЕНИЕ 8.9*. Для всех помещений защитных сооружений следует предусматривать общее освещение. Нормы освещенности помещений следует принимать по табл. 38*. Осветительную сеть и нормы освещения помещений. используемых в мирное время для нужд предприятий, следует предусматривать в соответствии с главой СНиП по проектированию искусственного освещения. Использование люминесцентных ламп для систем освещения защитных сооружений гражданской обороны не допускается. При переходе на режим убежища (укрытия) следует предусматривать отключение части светильников, запроектированных для мирного времени. 8.10*. Питание электрического освещения следует предусматривать от отдельных осветительных щитов, размещаемых в электрощитовой, а при ее отсутствии - в помещении венткамеры. В пунктах управления, помещениях связи, буфетной и предоперационно-стерилизационной следует предусматривать розетки для питания однофазных электроприемников мощностью до 1 кВт. 8.11. В убежищах с ДЭС следует предусматривать аварийный светильник в помещении машинного зала ДЭС и электрощитовой. Питание аварийных светильников должно осуществляться от стартерной аккумуляторной батареи дизель-генератора. Таблица 38*
8.12. В убежищах без ДЭС и противорадиационных укрытиях следует предусматривать местные источники освещения от переносных электрических фонарей, аккумуляторных светильников и др. Освещенность помещений в этом случае не нормируется. 8.13. В убежищах при высоте установки светильников над полом менее 2,5 м следует предусматривать применение светильников, исключающих доступ к лампам без специальных приспособлений. В убежищах, помещения которых в мирное время используются под гаражи - стоянки автомобилей, следует применять светильники в защищенном исполнении. 8.14*. Питание указателей "Вход" и светильников входных лестниц и тоннелей, а также светильников тамбуров и тамбуров-шлюзов следует выделять в отдельную группу. Групповые линии общего освещения и штепсельных розеток, а также электроприемников мощностью до 2 кВт должны быть рассчитаны на длительную токовую нагрузку аппарата защиты с уставной не более 25 А. Электрические осветительные сети в убежищах должны иметь защиту от перегрузок независимо от способа их прокладки. Коэффициент запаса при расчетах следует принимать для светильников с лампами накаливания 1,3. ЗАЩИЩЕННЫЕ ДИЗЕЛЬНЫЕ ЭЛЕКТРОСТАНЦИИ (ДЭС) 8.15. Защищенные дизельные электростанции (ДЭС) следует проектировать, как правило, для группы близлежащих убежищ, предусматривая первоочередное возведение убежищ с ДЭС. Допускается проектирование ДЭС для одного убежища, если групповая ДЭС по техническим или экономическим условиям нерациональна. К каждому убежищу от распределительного щита ДЭС должен быть предусмотрен отдельный фидер, имеющий коммутационный аппарат и защиту от перегрузок и коротких замыкании. Кабельные линии от ДЭС должны быть проверены на потерю напряжения. 8.16. Дизельная электростанция проектируется с учетом следующих требований: мощность дизель-генератора должна соответствовать расчетной мощности электроприемников без резерва; частота и напряжение генераторов должны соответствовать напряжению и частоте сетевого ввода. При различных напряжениях внешней сети и дизель-генератора следует предусматривать соответствующий сухой трансформатор (понижающий или повышающий); выводы статора генератора должны быть выполнены по четырехпроводной схеме "три фазы и нуль"; при проектировании одного дизель-генератора его следует выбирать неавтоматизированным или I степени автоматизации, при двух и более дизель-генераторах следует предусматривать устройство для синхронизации параллельной работы; генератор должен иметь защиту от коротких замыканий и перегрузок. 8.17. Мощность электроагрегатов ДЭС должна быть определена по максимальной потребной мощности электроприемников, работающих в режимах работы санитарно-технических устройств (вентиляционных систем, кондиционеров, насосов и др.) и освещения убежища. Минимальная мощность загрузки дизеля при эксплуатации должна быть не менее 40 % его номинальной мощности. При общей потребной мощности более 100 кВт следует предусматривать установку не менее двух электроагрегатов, работающих по параллельной схеме. Мощность электроагрегата ДЭС следует проверять по условиям обеспечения пуска электродвигателя наибольшей мощности при полной нагрузке от остальных потребителей с учетом коэффициента спроса (одновременности). 8.18. Для электроснабжения убежищ следует применять дизель-электрические агрегаты неавтоматизированные или I степени автоматизации по ГОСТ 10032-69. Применение дизель-электрических агрегатов более высокой степени автоматизации должно быть обосновано технико-экономическим расчетом. В ДЭС применяются агрегаты с радиаторной (водовоздушной), двухконтурной (водо-водяной), одноконтурной (водяной) и комбинированной (водовоздушной и водяной) системами охлаждения. Наиболее целесообразно применение дизель-агрегатов с прямоточной (одноконтурной) и комбинированной системами охлаждения. 8.19*. Размещение оборудования в помещениях ДЭС, расстояния между оборудованием и строительными конструкциями следует принимать в соответствии с требованиями ПУЭ, заводов - изготовителей дизель-генераторов и табл. 39. Таблица 39
8.20. Дизель-генератор должен устанавливаться на бетонном фундаменте с креплением анкерными болтами. Верх фундамента должен выступать над уровнем пола на 0,1-0,15 м. При необходимости в ограждающих конструкциях следует предусматривать монтажный проем, который после вноса оборудования должен быть закрыт равнопрочными конструкциями и герметично заделан с засыпкой грунтом. 8.21. Электрооборудование помещений ДЭС следует предусматривать в соответствии с требованиями ПУЭ. Для электрических сетей ДЭС следует применять кабели с оболочками или защитными покрытиями, не распространяющими горение. Кабели следует прокладывать в каналах. Нейтраль генератора должна быть соединена с контуром заземления, размещенным в сооружении. 8.22*. Запас топливно-смазочных материалов для ДЭС следует рассчитывать на непрерывную работу дизель-агрегата в течение всего расчетного срока, принимаемого в соответствии с прил. 1* и с учетом проведения технического обслуживания, а также кратковременных запусков дизель-агрегата в течение года (не более 15% хранимого запаса). В помещении машинного зала ДЭС допускается размещать топливно-смазочные материалы объемом до 1,5 м3, а при расположении ДЭС под жилыми и общественными зданиями - объемом до 1 м3. При объеме более 1,5 м3 топливно-смазочные материалы следует размещать в отдельном помещении, а в случае расположения ДЭС под жилыми и общественными зданиями и при объеме топливно-смазочных материалов от 1 до 10 м3 защищенные топливные баки следует выносить за периметр здания, в которое встроена ДЭС, на расстояние не менее 10 м. При объеме запаса топливно-смазочных материалов для ДЭС до 1,5 м3 приемные колодцы не предусматриваются. Отметка порога входных дверей помещения для запаса топливно-смазочных материалов должна быть определена расчетом (но не более 30 см) из условия предупреждения их растекания из указанного помещения. Для хранения расчетного запаса топлива и масла следует применять герметические стальные баки, устанавливаемые на высоте, обеспечивающей поступление топлива и масла к дизелям самотеком. Расходные баки должны быть оборудованы смотровыми люками, указателями уровня, приемными фильтрующими сетками, огневыми предохранителями и запорной арматурой. Для хранения масла в количестве до 60 л допускается применение переносных емкостей (по 10-20л), устанавливаемых в ДЭС. Дыхательные трубопроводы расходных топливных емкостей должны быть выведены в вытяжную камеру системы вентиляции. 8.23*. Для защиты от проникания ударной волны на выхлопном трубопроводе от дизеля следует предусматривать установку термостойкой задвижки. При неработающем дизеле задвижка должна находиться в закрытом положении. Смотровые окна в стенах дизельной предусматривать не следует. Выхлопной трубопровод прокладывается с уклоном в сторону дизеля и должен иметь устройство для спуска конденсата. При установке в ДЭС нескольких дизель-генераторов выхлопные трубопроводы предусматриваются раздельными для каждого дизеля. Диаметр трубопровода принимается согласно заводским данным. Если трасса газовыхлопа более 15 м, то следует сделать проверочный расчет с учетом допустимого значения противодавления выхлопу, указанного в заводской документации. Для компенсации термического расширения на выхлопных трубопроводах следует устанавливать линзовые, волнистые или сильфонные компенсаторы. Допускается применение также специальных металлорукавов. На выхлопных трубопроводах диаметром менее 90 мм гашение вибрации и термического расширения допускается предусматривать путем самокомпенсации за счет изгибов трубопроводов. Возможность самокомпенсации определяется расчетом. Выхлопной трубопровод в пределах сооружения должен быть теплоизолирован. Температура поверхности изоляции не должна превышать 60°С. При работе дизеля не должно быть выделения вредностей от теплоизоляции в помещение ДЭС. Пропуск выхлопного трубопровода через ограждающие конструкции должен осуществляться в закладных частях, конструкция которых должна обеспечивать герметичность помещения и препятствовать передаче тепла от горячего трубопровода (Т = 500°С) к ограждающим конструкциям. Для обеспечения возможности теплового расширения и защиты от деформации при осадке убежища выхлопной трубопровод следует прокладывать в грунте с пропуском через закладную трубу. СВЯЗЬ 8.24. Каждое убежище должно иметь телефонную связь с пунктом управления предприятия и громкоговорители, подключенные к городской и местной радиотрансляционным сетям. 8.25*. Пункт управления предприятия следует оборудовать средствами связи, обеспечивающими: управление средствами оповещения гражданской обороны объекта; телефонную связь руководства и оперативного персонала с подразделениями гражданской обороны объекта и руководством штаба гражданской обороны, общественными учреждениями города, района, области (по принадлежности) ; телефонную связь с убежищами предприятия и с основными цехами, не прекращающими производство по сигналу ВТ; радиосвязь с запасным пунктом управления города (района). Пункт управления следует проектировать со средствами радиосвязи и оповещения по согласованию с местным штабом гражданской обороны. Для резервирования проводного вещания следует предусматривать радиоприемник. 8.26. Противорадиационное укрытие, в котором будет размещаться руководство предприятия (учреждения), должно иметь телефонную связь с местным штабом гражданской обороны и громкоговоритель, подключенный к городской и местной радиотрансляционным сетям. Пункты управления в противорадиационных укрытиях не предусматриваются. В других противорадиационных укрытиях устанавливаются только громкоговорители радиотрансляционной сети. 8.27*. Сети проводной телефонной связи и вещания пунктов управления следует предусматривать в обход наземных коммутационных устройств (кроссов и распределительных шкафов) с использованием подземных кабелей телефонной сети объекта и города. Расстояние и способы прокладки кабелей и проводов телефонных и радиотрансляционных сетей при их сближениях и пересечениях с электросетями следует принимать в соответствии с требованиями ПУЗ, общей инструкции по строительству линейных сооружений ГТС и соответствующих глав СНиП. 8.28. Вводы сетей в сооружения должны быть только подземными и проходить через сальниковые уплотнения с последующей заливкой их кабельной мастикой. Телефонные кабели должны быть проложены в трубах отдельно от радиотрансляционных кабелей. 8.29*. По действующим нормам расстояние между параллельно прокладываемыми кабелями слаботочных устройств и электрокабелями следует принимать: при прокладке в трубах - не менее 0,1 м; при прокладке в траншее - не менее 0,5 м. Расстояние между розетками сети проводного вешания и электроснабжения следует принимать не менее 1 м. 8.30*. Защиту кабелей от всех видов коррозии следует предусматривать в соответствии с ГОСТ 9.015-74. 8.31*. Для электропитания станционного оборудования связи, устанавливаемого в пунктах управления предприятий, следует предусматривать системы, не требующие применения аккумуляторных батарей. 8.32*. В пунктах управления предприятий, находящихся в зонах возможного затопления, проводные средства связи следует резервировать радиосредствами. 9. УБЕЖИЩА, РАЗМЕЩАЕМЫЕ В ЗОНЕ ВОЗМОЖНОГО ЗАТОПЛЕНИЯ 9.1. Убежища, размещаемые в зоне возможного затопления, должны удовлетворять всем требованиям настоящих норм с учетом воздействия гидравлического потока, обусловленного гравитационными или прорывными волнами. Продолжительность затопления принимается для гравитационных волн кратковременной - до 2 ч, для прорывных волн длительной - более 2 ч. Убежища в зонах длительного затопления следует предусматривать при расчетной глубине воды не более 10 м. При больших глубинах затопления следует применять другие способы защиты. 9.2. Убежища в зонах длительного затопления следует по возможности размещать на возвышенных участках местности с увеличением в обоснованных случаях радиуса сбора укрываемых согласно прил.1*. В зонах затопления убежища устраиваются встроенными и отдельно стоящими. При размещении низа перекрытия отдельно стоящих убежищ выше уровня планировочной отметки земли следует проводить проверку устойчивости сооружения на сдвиг и опрокидывание гидравлическим потоком или против всплытия с коэффициентом запаса 1,1. Вместимость убежищ в зоне длительного затопления рекомендуется принимать 300-600 чел. При проектировании ДЭС следует предусматривать инженерные решения, исключающие попадание воды в воздухозабор и выхлоп дизеля. В зонах затопления от прорывных волн при глубине воды 5 м и болев следует предусматривать убежища без ДЭС. Фильтровентиляцию и регенерацию воздуха при этом обеспечивать с применением комплектов ФВК-2 и электроручных вентиляторов ЭРВ-600/300, входящих в эти комплекты. Охлаждение воздуха после РУ-150/6 предусматривать с помощью труб, размещаемых в грунте за пределами убежищ. Освещение помещений этих убежищ предусматривать от переносных и местных источников (аккумуляторных и электрических фонарей, батарей, велогенераторов и др.). 9.3. Оклеечную гидроизоляцию убежищ, размещаемых в зонах затопления, следует назначать сплошной, включая и покрытие, в соответствии с требованиями "Инструкции по проектированию гидроизоляции подземных частей зданий и сооружений" и с учетом стойкости ее против гидростатического напора и обеспечения зажатия жесткими конструктивными элементами по стенам и по покрытию. Степень допустимого увлажнения ограждающих конструкций убежищ, размещаемых в зонах затопления, следует принимать I категории. 9.4. В убежищах, размещаемых в зонах возможного затопления, следует предусматривать аварийные выходы: а) в зонах кратковременной продолжительности затопления - в виде вертикальной шахты с защищенным оголовком и в соответствии с требованиями п. 2.19 настоящих норм. По окончании затопления следует предусматривать выпуск воды из входа в убежище или откачку ее насосом; б) в зонах продолжительного затопления - в виде вертикальной шахты. При глубине возможного затопления до 5 м выход должен осуществляться через шахту. При этом верх шахты следует принимать на 1 м выше уровня возможного затопления. При глубине затопления до 10 м шахту следует устраивать высотой до 5 м над поверхностью обсыпки отдельно стоящего заглубленного убежища и обеспечивать эвакуацию укрываемых с помощью спасательно-эвакуационных средств , (комплект "Выход") через люк (по типу танкового), перекрывающий шахту убежища. 9.5. В убежищах, размещаемых в зонах возможного затопления, следует предусматривать минимально необходимое количество входных проемов, но не менее двух, а также минимальное количество приточно-вытяжных и других отверстий, сообщающихся с поверхностью. Допускается совмещать воздухозаборы в одном канале с прокладкой в нем трубопроводов для воздухозабора по фильтровентиляции и ДЭС, а также вытяжных, кроме выхлопа от дизеля. 9.6. Несущие конструкции убежищ, защитно-герметические двери (люки) и другие защитные устройства должны проверяться расчетом на нагрузку от гидростатического давления расчетного столба воды, который должен быть указан в задании на проектирование. Гидростатическое давление от столба воды на сооружение, принимаемое в расчете, не должно превышать нагрузки, устанавливаемой классом зашиты убежища. Все выступающие элементы сооружения, оголовки аварийных выходов, воздуховодов, шахты и другие должны быть проверены расчетом на устойчивость и прочность от раздельного воздействия ударной волны и гидравлического потока. 9.7. Убежища, размещаемые в зонах возможных затоплений, должны возводиться по индивидуальным и типовым проектам из монолитных железобетонных конструкций со сплошной фундаментной плитой. Бетон для убежищ, размещаемых в зонах затопления, должен применяться проектной марки: по прочности на сжатие - не ниже М200, по морозостойкости - М150 и по водонепроницаемости - В-6 в соответствии с требованиями главы СНиП по проектированию бетонных и железобетонных конструкций и ГОСТ 4795-68. Конструкции убежищ, размещаемых в зоне возможных затоплений, следует рассчитывать по предельному состоянию Iб. 9.8. Оголовки аварийных выходов, воздухозаборных и вытяжных шахт следует проверять на давление от скоростного напора Рск гидравлического потока по формуле
где Сх - коэффициент лобового сопротивления, принимаемый согласно прил. 8; γ - объемный вес воды; g - ускорение свободного падения, равное 9,8 м/с2; vп - скорость подходящего потока согласно прил. 1*; Fск - площадь проекции погруженной в поток части преграды на плоскость, перпендикулярную направлению движения потока. 9.9. В убежищах, размещаемых в зонах возможного затопления, следует предусматривать режим изоляции с регенерацией внутреннего воздуха согласно прил. 1*, а также предусматривать устройства, обеспечивающие контроль наличия воды над сооружением. В воздухозаборных и вытяжных шахтах следует предусматривать установку противовзрывных устройств и водопроводных задвижек с электроручным управлением из убежища. Водопроводные задвижки должны быть рассчитаны на гидростатическое давление от расчетного столба воды. Опорожнение затопленного водой участка шахты следует предусматривать путем слива воды в камеры перед масляными фильтрами или откачки ручным насосом за пределы coopужeния. 10* ПРОТИВОПОЖАРНЫЕ ТРЕБОВАНИЯ 10.1. При проектировании защитных сооружений гражданской обороны в части противопожарных требований надлежит руководствоваться соответствующими главами СНиП в зависимости от назначения помещений в мирное время, а также требованиями настоящих норм. 10.2. Защитные сооружения следует размещать в подвальных помещениях производств категорий по пожарной опасности Г и Д. В отдельных случаях допускается размещение защитных сооружений в подвальных помещениях производств категорий А, Б, В и Е при обеспечении полной изоляции подвалов от надземной части зданий, необходимой защиты входов (выходов) и снижения нагрузки от возможного взрыва в здании до 80% по сравнению с эквивалентной расчетной нагрузкой. 10.3* Огнестойкость зданий и сооружений, в которые предусматривается встраивать убежища или противорадиационные укрытия, расположенные в зоне воздействия ударной волны, должны быть не ниже II степени. Минимальный предел огнестойкости основных строительных конструкций следует принимать для: убежищ - по табл. 40; противорадиационных укрытий в зоне воздействия ударной волны - по противопожарным нормам проектирования зданий и сооружений для объектов II степени огнестойкости; противорадиационных укрытий вне зоны воздействия ударной волны - по противопожарным нормам проектирования зданий и сооружений, в которые они встроены. Таблица 40
10.4. Для внутренней отделки помещений защитных сооружений должны применяться несгораемые или трудносгораемые материалы. Запрещается применение сгораемых синтетических материалов для изготовления нар и другого оборудования. При использовании под убежища гардеробных помещений, размещаемых в подвалах, хранение домашней и рабочей одежды должно производиться на металлических вешалках или в металлических шкафчиках. 10.5*. В складских помещениях, приспосабливаемых под защитные сооружения вместимостью 600 чел. и более и используемых для хранения сгораемых материалов и несгораемых в сгораемой таре, следует предусматривать устройство автоматических установок пожаротушения, а также вентиляции, используемой для дымоудаления. 10.6*. При приспособлении под убежища помещений, в которых в мирное время размещаются производства категории В, стоянки легковых автомобилей, склады сгораемых материалов и несгораемых материалов в сгораемой таре, следует предусматривать возможность удаления дыма при пожаре с помощью вытяжной системы вентиляции. Объем удаляемого воздуха должен составлять не менее четырехкратного. На вытяжной системе вентиляции должен устанавливаться герметический клапан (или утепленная заслонка) с электроприводом, открывание которого должно предусматриваться одновременно с пуском вентилятора. Пуск вентилятора должен предусматриваться: а) от пускового устройства в ФВП; б) от пускового устройства, устанавливаемого у основного входа в убежище, используемого в мирное время; в) от дымовых извещателей. Одновременно с пуском вентилятора вытяжной системы вентиляции выключаются вентиляторы и закрываются герметические клапаны на приточных системах вентиляции. 10.7*. Защитные сооружения должны иметь не менее двух входов с шириной двери не менее 0,8 м и высотой двери не менее 1,8 м. 10.8. Выход (вход) из убежища, имеющего ДЭС, через общую лестничную клетку многоэтажного здания допускается предусматривать при условии отделения глухими несгораемыми ограждениями маршей, идущих в подвал, от маршей, идущих на второй и последующие этажи, и устройства обособленного выхода наружу. 10.9*. Помещения машинного зала и запаса топливно-смазочных материалов защищенных ДЭС относить по пожарной опасности к категории В с оборудованием стационарными автоматическими противопожарными установками. Для дымоудаления из помещения ДЭС допускается использовать вытяжное вентилятор ДЭС. 10.10. В убежищах вместимостью 600 чел. и более внутренний водопровод для пожаротушения следует предусматривать в тех случаях, когда это определено требованиями соответствующих глав СНиП в зависимости от назначения помещений в мирное время. 10.11. В защитных сооружениях ввод средств пожаротушения должен предусматриваться через входные проемы, заполняемые в мирное время обычными дверями, согласно п. 2.16 настоящих норм. 10.12. Защитные сооружения в соответствии с их использованием в мирное время должны иметь первичные средства пожаротушения (ручные пенные огнетушители, песок и др.1 в количествах, предусмотренных соответствующими типовыми правилами пожарной безопасности. 10.13*. При проектировании убежищ гражданской обороны должна производиться оценка пожарной обстановки и загазованности при массовых пожарах в районе расположения убежища согласно прил. 1 *. ПРИЛОЖЕНИЕ 2* МЕТОДИКА ОПРЕДЕЛЕНИЯ ВМЕСТИМОСТИ УБЕЖИЩ ДЛЯ НЕТРАНСПОРТАБЕЛЬНЫХ БОЛЬНЫХ И ПРОТИВОРАДИАЦИОННЫХ УКРЫТИЙ УЧРЕЖДЕНИЙ ЗДРАВООХРАНЕНИЯ 1. Вместимость убежищ для нетранспортабельных больных определяется из расчета: больных - в соответствии с заданием на проектирование, но не более 10 % общей проектной вместимости лечебных учреждений в мирное время; медицинского персонала: 2 врача, 3 дежурные медицинские сестры (фельдшеры), 4 санитарки, 2 медицинские сестры для операционно-перевязочной и одна медицинская сестра для процедур на 50 нетранспортабельных больных. На каждые последующие 50 больных должно приниматься 50 % указанного количества медицинского персонала; обслуживающего (технического) персонала: дежурные слесари (2), дизелист, электрик, буфетчица - 5 чел. на убежище. 2. Противорадиационные укрытия в учреждениях здравоохранения следует проектировать: а) на полный численный состав больных, медицинского и обслуживающего персонала в учреждениях здравоохранения, имеющих в своем составе коечный фонд; б) на штатную численность медицинского учреждения, не имеющего коечного фонда; в) на полную численность расчетного состава по плану использования лечебно-оздоровительного учреждения. Под учреждениями здравоохранения понимаются: а) имеющие коечный фонд больницы, клиники, госпитали, медсанчасти, родильные дома, диспансеры, профилактории, научно-исследовательские институты без клиник, медицинские учебные заведения, поликлиники, аптеки, химико-фармацевтические производства, санитарно-эпидемиологические и дезинфекционные станции; б) лечебно-оздоровительные учреждения: пансионаты, дома и базы отдыха, пионерские лагеря. ПРИЛОЖЕНИЕ 3 ПЛОЩАДИ ВСПОМОГАТЕЛЬНЫХ ПОМЕЩЕНИЙ УБЕЖИЩ
ПРИЛОЖЕНИЕ 4 МЕТОДИКА РАСЧЕТА ГИДРОИЗОЛЯЦИИ Отдельно стоящее убежище, возводимое в водонасыщенном грунте. Уровень грунтовых вод 2 м от поверхности земли. Сооружение со стенами из бетонных блоков толщиной 0,6 м и перекрытием из сборных плит, свободно опертых на стены и замоноличенных слоем бетона, с засыпкой поверху слоем песчаного грунта толщиной 1 м. Высота остова сооружения 4 м, расчетный пролет перекрытия l = 3 м. Расчетная динамическая нагрузка 2 кгс/см2 при времени нарастания t менее 6 м•с, Для гидроизоляционного покрытия используется листовой полиэтилен в один слой, приклеенный мастикой БКС. Толщина листа полиэтилена δ = 0,15 см, расчетное сопротивление растяжению Rи = 155 кгс/см2 (по табл. 81), модуль деформации Еи = 790 кгс/см2, расчетное сопротивление мастики БКС сдвигу Rм = 17,5 кгс/см2 (по табл. 8) относительное удлинение ∈и = 0,2. 1. Определяем ширину возможной трещины, которая возникает в конструкции сооружения под воздействием нагрузки. Одним из наиболее опасных мест, в которых возможны разрывы гидроизоляционного покрытий при образовании трещин в конструкции, является сопряжение перекрытия со стеной. Согласно пп. 4.3* и 4.4* настоящих норм, расчет ведем с условием обеспечения полного прогиба перекрытия не более 1/200/ (т. е. К = 1). Зная величину прогиба, размеры пролета и толщину стены, определяем путем графического построения, что ширина трещины будет 0,6 см. Допустимая величина трещины по условию разрыва или вдавливания гидроизоляционного покрытия из листового полиэтилена равна 0,5 см. Для обеспечения сохранности гидроизоляции перекрытия в данном случае убежище необходимо запроектировать с прогибом не более 1/240 l. 2. Определяем расчетную величину деформации ат, при которой гидроизоляционное покрытие будет деформироваться без разрыва:
где Ки - согласно табл. 7, равно 1; g - с учетом нагрузки от грунта равно 2,18 кгс/см2; fи - согласно табл. 9, равно 0,36;
Следовательно, при этой расчетной величине деформации ат = 0,52 см разрыва гидроизоляционного покрытия не произойдет. 3. Проверяем на отрыв гидроизоляции на вертикальных поверхностях при осадке сооружения под воздействием нагрузки. По условиям работы гидроизоляции на эти воздействия наиболее опасным местом является сопряжение стены с фундаментом, т.е. на отметке 5 м от поверхности земли. Нормальное давление со стороны грунта на гидроизоляционное покрытие g будет равно сумме динамической нагрузки, действующей на стену, давления грунта и гидростатического давления: g = 2 + 0,23 + 0,3 = 2,53 кгс/см2; gfи < Rм 2,53⋅0,36 < 17,5. Таким образом, условие соблюдается. ПРИЛОЖЕНИЕ 5 КОЭФФИЦИЕНТ S ДЛЯ ОТДЕЛЬНЫХ СХЕМ ЗАГРУЖЕНИЯ И УСЛОВИЙ НА ОПОРАХ
При загружении элемента одновременно по нескольким схемам коэффициент S равен:
где S1 и М1, S2, и М2, Sn и Mn - соответственно коэффициенты S и наибольший изгибающий момент M для каждой схемы загружения. В этом случае в формуле прогиба ПРИЛОЖЕНИЕ 6 ПРОТИВОВЗРЫВНЫЕ УСТРОЙСТВА ДЛЯ УБЕЖИЩ
ПРИЛОЖЕНИЕ 7 ОСНОВНЫЕ ХАРАКТЕРИСТИКИ ЭЛЕКТРОРУЧНЫХ ВЕНТИЛЯТОРОВ
ПРИЛОЖЕНИЕ 8 КОЭФФИЦИЕНТ ЛОБОВОГО СОПРОТИВЛЕНИЯ Сх
ПРИЛОЖЕНИЕ 9*
ПРИЛОЖЕНИЕ 10*
ПРИЛОЖЕНИЕ. 11* РАСЧЕТ ДИНАМИЧЕСКОЙ ПРОЧНОСТИ СВОРНЫХ ИЗГИБАЕМЫХ ЖЕЛЕЗОБЕТОННЫХ ЭЛЕМЕНТОВ С УЧЕТОМ УСИЛИЙ РАСПОРА Динамическая прочность сборных изгибаемых железобетонных элементов, имеющих закрепления на концах посредством болтовых или сварных соединений к опорам либо надежные замоноличенные швы между торцевыми опорными сечениями и примыкающими к ним конструкциями (стенами, колоннами), рассчитывается с учетом усилия распора Н по формуле М ≤ Мн = RадFа(h0 -0,5хн) +Н(d - fпрн-0,5хн), где М - момент от нагрузки; Rад - расчетное динамическое сопротивление арматуры растяжению; Fа - площадь растянутой арматуры; h0 - рабочая высота сечения; хн - высота сжатой зоны нормального сечения элемента с учетом действия усилия Н; Н - усилие распора, подсчитываемого из условия возможной прочности на срез закреплений болтов или сварных швов либо воздействия продольной силы, принимаемой по пп. 3.6 - 3.9 настоящих норм; d - расстояние от верхней грани торцевого сечения до точки приложения распорного усилия; при сварных или болтовых соединениях на опорах либо при упоре в жесткие стены расстояние d принимается равным рабочей высоте сечения h0; fпрн - предельный прогиб, достигаемый элементом к моменту начала раздробления бетона на верхней грани сжатой зоны. Высоту сжатой зоны хн следует определять по формуле
где Rа.сд - расчетное динамическое сопротивление арматуры сжатию; F′а - площадь сжатой арматуры; Rпрд - расчетная динамическая призменная прочность бетона; b - ширина прямоугольного сечения. Предельный прогиб fпрн определяется по формуле
где ξб.пр - величина относительного укорочения бетона, равная: ξб.пр = (350 - 200 ξн) 10-5; ξн - относительная высота сжатой зоны сечения с учетом действия усилий продольного обжатия (внешней сжимающей силы, усилия предварительного напряжения, распорного усилия), равная:
S - коэффициент, зависящий от схемы загружения элементов и условий на опорах, принимаемый согласно прил. 5; l0 - расчетная длина элемента. Изгибающий момент Мн, определяемый с учетом распорного усилия, не должен превышать предельный изгибающий момент Мпрд, подсчитанный при граничной относительной высоте сжатой зоны сечения ξд. Предельный изгибающий момент Мпрд, воспринимаемый нормальным сечением, следует определять по формулам: для прямоугольных сечений Мпрд = 0,5bh02Rпрд; для элементов с сечениями, отличными от прямо угольных, Мпрд = RпрдSR + Rа.сдSa′, где SR - статический момент площади сжатого бетона при относительной высоте сечения ξRд; Sa′ - статический момент площади сжатой арматуры относительно центра тяжести растянутой арматуры; ξRд - граничное значение относительной высоты сжатой зоны. определяемое по п. 4.19 настоящих норм. ПРИЛОЖЕНИЕ 12* РАСЧЕТ СТЕН КОМПЛЕКСНОЙ КОНСТРУКЦИИ Расчет стен комплексной конструкции убежищ производится для сечений, нормальных к их продольной оси. Комплексные конструкции, работающие на изгиб, следует проверять также расчетом на воздействие скалывающих напряжений. Расчет сечений, нормальных к продольной оси элемента, производится, как и в железобетонных конструкциях, в зависимости от соотношения между величиной относительной высоты сжатой зоны кирпичной кладки ξкд и ее граничным значением ξRдк. Расчет производится: при ξкд ≤ ξRдк с учетом расчетных динамических сопротивлений арматуры; при ξкд > ξRдк учетом напряжении σад, достигаемых в арматуре и определяемых по формуле
Значения ξкд определяются из выражения
где h0 - рабочая высота сечения, равная сумме толщин материалов комплексной конструкции за вычетом расстояния от растянутой грани сечения до центра тяжести растянутой арматуры; хд - высота сжатой зоны комплексного сечения; Rад - расчетное динамическое сопротивление арматуры растяжению; μ - коэффициент армирования сечения; Rк.ид - расчетное сопротивление кладки изгибу, равное: Rк.ид = 1,25Rк.сКу, (2) где Rк.с - расчетное сопротивление кирпичной кладки на сжатие, принимаемое согласно СНиП по проектированию каменных и армокаменных конструкции; Ку - коэффициент динамического упрочнения кладки, принимаемый равным 1,2. Величина ξRкд определяется по формуле
где ξQкд - характеристика сжатой зоны кладки, определяемая по формуле ξQкд = 0,85 - 0,0008 Rк.ид. (4) Расчет прочности нормальных сечений на изгиб производится по формуле М ≤ RадFа(h0 - 0,5хд), (5) где Fа - площадь растянутой арматуры. Высота сжатой зоны комплексного сечения определяется по формуле
где b - расчетная ширина элемента. При расчете изгибаемых комплексных конструкций на действие поперечной силы должно соблюдаться условие (при расчете по предельному состоянию Iа) Q ≤ 0,45b(Rпрдhб + Rк.идhк), (7) где hб, hк - толщина железобетона и кирпичной кладки в стене; Rпрд - расчетная динамическая призменная прочность бетона (при сжатии). Если условие (7) не выполняется, то следует либо повышать марку бетона, либо увеличивать толщину железобетонной части сечения. Допускается производить расчет комплексной конструкции на действие поперечной силы только с учетом толщины железобетонной части стены. Расчет прочности комплексных конструкций на сдвиг по поверхности контакта кладки и железобетона производится по формуле Q ≤ 0,9Rсрдbh0, (8) где Rсрд - расчетное динамическое сопротивление срезу кладки по перевязанному сечению. Если условие (8) не соблюдается, то следует принять конструкцию сопряжения кирпичной кладки с железобетоном, обеспечивающую это условие. ПРИЛОЖЕНИЕ 13* МЕТОДИКА РАСЧЕТА ЗАПАСА СЖАТОГО ВОЗДУХА
СОДЕРЖАНИЕ 1. ОБЩИЕ ПОЛОЖЕНИЯ РАЗМЕЩЕНИЕ УБЕЖИЩ РАЗМЕЩЕНИЕ ПРОТИВОРАДИАЦИОННЫХ УКРЫТИЙ 2. ОБЪЕМНО-ПЛАНИРОВОЧНЫЕ И КОНСТРУКТИВНЫЕ РЕШЕНИЯ А. УБЕЖИЩА ПОМЕЩЕНИЯ ОСНОВНОГО НАЗНАЧЕНИЯ ПОМЕЩЕНИЯ ВСПОМОГАТЕЛЬНОГО НАЗНАЧЕНИЯ ЗАЩИЩЕННЫЕ ВХОДЫ И ВЫХОДЫ КОНСТРУКТИВНЫЕ РЕШЕНИЯ ГИДРОИЗОЛЯЦИЯ И ГЕРМЕТИЗАЦИЯ Б. ПРОТИВОРАДИАЦИОННЫЕ УКРЫТИЙ (ПРУ) ОБЪЕМНО-ПЛАНИРОВОЧНЫЕ РЕШЕНИЯ КОНСТРУКТИВНЫЕ РЕШЕНИЯ 3*. НАГРУЗКИ И ВОЗДЕЙСТВИЯ НАГРУЗКИ И ИХ СОЧЕТАНИЯ ДИНАМИЧЕСКИЕ НАГРУЗКИ ОТ ВОЗДЕЙСТВИЯ УДАРНОЙ ВОЛНЫ ЭКВИВАЛЕНТНЫЕ СТАТИЧЕСКИЕ НАГРУЗКИ 4. РАСЧЕТ БЕТОННЫХ И ЖЕЛЕЗОБЕТОННЫХ КОНСТРУКЦИЙ ХАРАКТЕРИСТИКА ПРЕДЕЛЬНЫХ СОСТОЯНИЙ МАТЕРИАЛЫ И ИХ РАСЧЕТНЫЕ ХАРАКТЕРИСТИКИ А. Бетон Б. Арматура РАСЧЕТ ЖЕЛЕЗОБЕТОННЫХ ЭЛЕМЕНТОВ ПО ПРОЧНОСТИ А. Внецентренно сжатые элементы Б. Изгибаемые элементы РАСЧЕТ ИЗГИБАЕМЫХ ЭЛЕМЕНТОВ ПО НАКЛОННЫМ СЕЧЕНИЯМ РАСЧЕТ НА ПРОДАВЛИВАНИЕ РАСЧЕТ НА СКАЛЫВАНИЕ 5* РАСЧЕТ УБЕЖИЩ ИЗ КАМЕННЫХ И ДРУГИХ МАТЕРИАЛОВ, ОСНОВАНИЙ И СВАЙНЫХ ФУНДАМЕНТОВ РАСЧЕТ УБЕЖИЩ ИЗ КАМЕННЫХ И ДРУГИХ МАТЕРИАЛОВ РАСЧЕТ ОСНОВАНИЙ И ФУНДАМЕНТОВ РАСЧЕТ СВАЙНЫХ ФУНДАМЕНТОВ 6*. РАСЧЕТ ПРОТИВОРАДИАЦИОННОЙ ЗАЩИТЫ 7*. САНИТАРНО-ТЕХНИЧЕСКИЕ СИСТЕМЫ ВЕНТИЛЯЦИЯ И ОТОПЛЕНИЕ УБЕЖИЩ ВЕНТИЛЯЦИЯ ДИЗЕЛЬНЫХ ЭЛЕКТРИЧЕСКИХ СТАНЦИЙ «ДЭС» ВЕНТИЛЯЦИЯ И ОТОПЛЕНИЕ ПРОТИВОРАДИАЦИОННЫХ УКРЫТИЙ ВОДОСНАБЖЕНИЕ И КАНАЛИЗАЦИЯ УБЕЖИЩ И ДЭС ВОДОСНАБЖЕНИЕ И КАНАЛИЗАЦИЯ ПРОТИВОРАДИАЦИОННЫХ УКРЫТИЙ 8* ЭЛЕКТРОТЕХНИЧЕСКИЕ УСТРОЙСТВА И СВЯЗЬ ЭЛЕКТРОСНАБЖЕНИЕ И ЭЛЕКТРООБОРУДОВАНИЕ ЭЛЕКТРООСВЕЩЕНИЕ ЗАЩИЩЕННЫЕ ДИЗЕЛЬНЫЕ ЭЛЕКТРОСТАНЦИИ (ДЭС) СВЯЗЬ 9. УБЕЖИЩА, РАЗМЕЩАЕМЫЕ В ЗОНЕ ВОЗМОЖНОГО ЗАТОПЛЕНИЯ 10* ПРОТИВОПОЖАРНЫЕ ТРЕБОВАНИЯ ПРИЛОЖЕНИЕ 2* МЕТОДИКА ОПРЕДЕЛЕНИЯ ВМЕСТИМОСТИ УБЕЖИЩ ДЛЯ НЕТРАНСПОРТАБЕЛЬНЫХ БОЛЬНЫХ И ПРОТИВОРАДИАЦИОННЫХ УКРЫТИЙ УЧРЕЖДЕНИЙ ЗДРАВООХРАНЕНИЯ ПРИЛОЖЕНИЕ 3 ПЛОЩАДИ ВСПОМОГАТЕЛЬНЫХ ПОМЕЩЕНИЙ УБЕЖИЩ ПРИЛОЖЕНИЕ 4 МЕТОДИКА РАСЧЕТА ГИДРОИЗОЛЯЦИИ ПРИЛОЖЕНИЕ 5 КОЭФФИЦИЕНТ S ДЛЯ ОТДЕЛЬНЫХ СХЕМ ЗАГРУЖЕНИЯ И УСЛОВИЙ НА ОПОРАХ ПРИЛОЖЕНИЕ 6 ПРОТИВОВЗРЫВНЫЕ УСТРОЙСТВА ДЛЯ УБЕЖИЩ ПРИЛОЖЕНИЕ 7 ОСНОВНЫЕ ХАРАКТЕРИСТИКИ ЭЛЕКТРОРУЧНЫХ ВЕНТИЛЯТОРОВ ПРИЛОЖЕНИЕ 8 КОЭФФИЦИЕНТ ЛОБОВОГО СОПРОТИВЛЕНИЯ Сх ПРИЛОЖЕНИЕ 9* ПРИЛОЖЕНИЕ 10* ПРИЛОЖЕНИЕ. 11* РАСЧЕТ ДИНАМИЧЕСКОЙ ПРОЧНОСТИ СВОРНЫХ ИЗГИБАЕМЫХ ЖЕЛЕЗОБЕТОННЫХ ЭЛЕМЕНТОВ С УЧЕТОМ УСИЛИЙ РАСПОРА ПРИЛОЖЕНИЕ 12* РАСЧЕТ СТЕН КОМПЛЕКСНОЙ КОНСТРУКЦИИ ПРИЛОЖЕНИЕ 13* МЕТОДИКА РАСЧЕТА ЗАПАСА СЖАТОГО ВОЗДУХА Поделитесь этой записью или добавьте в закладки |
| ||||||||||||||||||||||||||||||||||||||||||||||||||||||||||||||||||||||||||||||||||||||||||||||||||||||||||||||||||||||||||||||||||||||||||||||||||||||||||||||||||||||||||||||||||||||||||||||||||||||||||||||||||||||||||||||||||||||||||||||||||||||||||||||||||||||||||||||||||||||||||||||||||||||||||||||||||||||||||||||||||||||||||||||||||||||||||||||||||||||||||||||||||||||||||||||||||||||||||||||||||||||||||||||||||||||||||||||||||||||||||||||||||||||||||||||||||||||||||||||||||||||||||||||||||||||||||||||||||||||||||||||||||||||||||||||||||||||||||||||||||||||||||||||||||||||||||||||||||||||||||||||||||||||||||||||||||||||||||||||||||||||||||||||||||||||||||||||||||||||||||||||||||||||||||||||||||||||||||||||||||||||||||||||||||||||||||||||||||||||||||||||||||||||||||||||||||||||||||||||||||||||||||||||||||||||||||||||||||||||||||||||||||||||||||||||||||||||||||||||||||||||||||||||||||||||||||||||||||||||||||||||||||||||||||||||||||||||||||||||||||||||||||||||||||||||||||||||||||||||










































