ГОСТ 19592-80 (СТ СЭВ 6011-87, СТ СЭВ 6012-87, СТ СЭВ 6013-87, СТ СЭВ 1771-79, СТ СЭВ 1772-79, СТ СЭВ 1773-79) УДК 674.817-41.001.4:006.354 Группа Ж19 ГОСУДАРСТВЕННЫЙ СТАНДАРТ СОЮЗА ССР Плиты древесноволокнистые Методы испытаний Fibre boards. Test methods ОКП 55 3600 Дата введения 1981-01-01 УТВЕРЖДЕН И ВВЕДЕН в действие Постановлением Государственного комитета СССР по делам строительства от 14 июля 1980 г. № 107 Взамен ГОСТ 19592-74 Переиздание. Февраль 1987 г. ВНЕСЕНО Изменение № 1, утвержденное Постановлением Государственного строительного комитета СССР от 13.01.89 № 6, введенное в действие с 01.01.90 и опубликованное в ИУС № 8 1989 г. Настоящий стандарт распространяется на древесноволокнистые плиты и устанавливает методы их испытаний. Стандарт не распространяется на плиты с лакированной или облицованной поверхностью. (Измененная редакция, Изм. № 1). Стандарт полностью соответствует требованиям СТ СЭВ 1771-79, СТ СЭВ 1772-79, СТ СЭВ 1773-79 и СТ СЭВ 6011-87, СТ СЭВ 6012-87, СТ СЭВ 6013-87 в части древесноволокнистых плит, а также ИСО 767-75, ИСО 768-72, ИСО 769-72 и ИСО 819-75. (Измененная редакция, Изм. № 1). 1. Методы отбора образцов 1.1. Из каждой отобранной для испытаний плиты вырезают образцы в количестве не менее указанного в табл. 1. Таблица 1
Примечание. Для других испытаний, не указанных в табл. 1, количество образцов определяется стандартами на конкретные методы испытаний (Измененная редакция, Изм. № 1). 1.2. Образцы для испытаний следует отбирать из плиты следующим образом: а) на расстоянии 250 мм от поперечной кромки вырезают полосы шириной в зависимости от размеров образцов; б) из полос вырезают образцы. При раскрое полос на образцы надо учитывать следующее: должны использоваться как центральные, так и периферийные части плит; образцы, предназначенные для определения одного и того же показателя, вырезают равномерно по всей длине полосы (на расстоянии не менее 50 мм друг от друга); в) маркировка наносится на поверхности каждого образца так, чтобы она была видна при всех дальнейших операциях в процессе испытания. Пример схемы отбора образцов для испытания твердых плит приведен на черт. 1.
1 - образцы для определения плотности и разбухания по толщине; 2 - образцы для определения водопоглощения лицевой поверхностью; 3 - образцы для определения влажности; 4 - образцы для определения предела прочности при изгибе; 5 - образцы для определения предела прочности при растяжении перпендикулярно к пласти Черт. 1 (Измененная редакция, Изм. № 1). 1.3. Форма и размеры образцов для каждого вида испытаний указаны в табл. 1. (Измененная редакция, Изм. № 1). Образцы должны иметь параллельные кромки и прямые углы. Отклонения от номинальных размеров образца по длине и ширине должны быть не более ±0,5 мм, а по толщине образца - равными отклонениям по толщине плит. При длине образца более 100 мм отклонения по длине должны быть не более ±1 мм. 1.4. Образцы должны иметь гладкие кромки без сколов и поврежденных углов. 1.5. Все образцы, за исключением образцов для определения влажности, перед испытаниями необходимо кондиционировать при температуре (20±2)°С и относительной влажности воздуха (65±5)% до момента достижения постоянной массы (равновесной влажности). Масса образца считается постоянной, если при двух очередных взвешиваниях, проведенных с 24-часовым промежутком, отклонение массы не превышает 0,1 %. При приемо-сдаточных испытаниях, если влажность плит находится в установленных стандартом на продукцию пределах, допускается заменять кондиционирование образцов выдержкой в течение не менее 24 ч. (Измененная редакция, Изм. № 1). 1.6. В зависимости от вида древесноволокнистых плит погрешность измерения размеров и массы образцов не должна превышать указанной в табл. 2. Таблица 2
(Измененная редакция, Изм. № 1). 1.7. (Исключен, Изм. № 1). 2. Оборудование, аппаратура, приборы и материалы 2.1. Универсальная испытательная машина по ГОСТ 7855-84 или другой системы, обеспечивающая погрешность измерения нагрузки не более 1 % и скорость нагружения, равную 30 мм/мин. Испытательное устройство, состоящее из двух параллельных опор с цилиндрической поверхностью, которые можно перемещать в горизонтальной плоскости и ножа с цилиндрической поверхностью, расположенного параллельно опорам в вертикальной плоскости на равном расстоянии от них и имеющего возможность перемещения в той же плоскости. Длина опор и ножа должна превышать ширину образца не менее чем на 5 мм. Диаметр (15±0,5) мм - для образцов номинальной толщиной менее 8 мм; (30±0,5) мм - для образцов номинальной толщиной 8 мм и более; Примечание. При испытании мягких плит на каждую цилиндрическую опору необходимо помещать стальную пластинку толщиной до 1 мм, шириной (20±2) мм и длиной не менее ширины образца. (Измененная редакция, Изм. № 1). 2.2. Установка для кондиционирования, обеспечивающая поддержание температуры (20±2)°С относительной влажности воздуха (65±5) %. 2.3. Сушильный шкаф, обеспечивающий постоянную температуру (103±2)°С. 2.4. Эксикатор по ГОСТ 25336-82 с гигроскопическим веществом, высушивающим воздух до состояния, близкого к абсолютно сухому. (Измененная редакция, Изм. № 1). 2.5. Сосуд для воды с термостатом, обеспечивающим постоянную температуру (20±1)°С, и устройством для удержания образцов под водой. 2.6. Лабораторные весы по ГОСТ 24104-80, позволяющие определить массу образца с погрешностью не более 0,1%. (Измененная редакция, Изм. № 1). 2.7. Прибор для определения коэффициента теплопроводности по ГОСТ 7076-87. (Измененная редакция, Изм. № 1). 2.8. Приборы для изменения толщины образцов Для изменения толщины образцов должны применяться приборы, имеющие неподвижную базовую поверхность, площадь соприкосновения которой с образцом должна составлять (2,00±0,4) см и подвижную измерительную головку с радиусом закругления 6,0 мм. Прижим подвижной головки к образцу должен производиться равномерно с усилием, не превышающим 2Н (0,2 кгс). Шкала прибора должна позволять производить отсчет с погрешностью не более 0,01 мм. Трехточечный толщиномер с тремя опорными поверхностями, расположенными по углам равностороннего треугольника, и с трехточечной измерительной головкой, закрепленной на циферблатном индикаторе. Поверхности соприкосновения головок и опор должны иметь радиус закругления, равный 6,0 мм. Усилие прижима в точках измерения должно составлять (0,75±0,025) Н [(0,075±0,025) кгс]. Трехточечный толщиномер должен обеспечивать одновременное измерение толщины в трех точках с погрешностью не более 0,01 мм. Допускается применение микрометра по ГОСТ 6507-78 или индикаторного толщиномера по ГОСТ 11358-74. (Измененная редакция, Изм. № 1). 2.9. Штангенциркуль по ГОСТ 166-80. (Измененная редакция, Изм. № 1). 2.10. Металлическая линейка по ГОСТ 427-75. (Измененная редакция, Изм. № 1). 2.11. Квадратная плита (груз) со стороной размером 120 мм и массой (3±0,2) кг. 2.12. Фильтровальная бумага. 2.13. Питьевая вода по ГОСТ 2874-82. (Измененная редакция, Изм. № 1). 3. (Исключен, Изм. № 1). 4. Проведение испытаний 4.1. Определение влажности. 4.1.1. Образцы взвешивают непосредственно после отбора, помещают в сушильный шкаф и высушивают до постоянной массы при температуре (103±2)°С. Масса образца при сушке считается постоянной, если разность между двумя последовательными взвешиваниями, проведенными через 6 ч. не превышает 0,1 % массы испытываемого образца. 4.1.2. Высушенные образцы перед каждым последующим взвешиванием помещают в эксикатор с гигроскопическим веществом для охлаждения до температуры, равной температуре воздуха в помещении, и быстро взвешивают во избежание повышения их влажности. Для ускорения высушивания допускается измельчать образцы. При этом для исключения потери материала взвешивание и высушивание производят в металлической, стеклянной или фарфоровой бюксе с интервалами между двумя последовательными взвешиваниями через 0,5 ч высушивания. (Измененная редакция, Изм. № 1). 4.2. Определение плотности 4.2.1. После кондиционирования образцы взвешивают и определяют их линейные размеры. 4.2.2. Длину и ширину образца измеряют в двух местах параллельно его кромкам между двумя точками согласно черт. 3. За длину и ширину образца принимают среднее арифметическое значение двух измерений. (Измененная редакция, Изм. № 1). 4.2.3. Толщину образца измеряют: а) в четырех точках в соответствии с черт. 3,
Черт. 3 б) в трех точках в соответствии с черт. 4.
Черт. 4 (Измененная редакция, Изм. № 1). 4.2.4. (Исключен, Изм. № 1) 4.3 Определение водопоглощения и набухания по толщине 4.3.1. Определение водопоглащения и набухания по толщине производят на одних и тех же образцах. 4.3.2. После кондиционирования и взвешивания измеряют толщину образцов согласно п. 4.2.3 и погружают их в сосуд с водой при температуре (20±1)°С. 4.3.3. Образцы полутвердых, твердых и сверхтвердых плит погружают в воду вертикально, а мягких плит - горизонтально, при этом они должны соприкасаться друг с другом, со стенками и с дном сосуда. Образцы должны находиться на (20±2) мм ниже уровня поверхности воды. 4.3.4. Время выдержки образцов в воде 2 ч ±5 мин или 24 ч ±15 мин устанавливают в соответствии с требованиями стандарта на продукцию. (Измененная редакция, Изм. № 1). 4.3.5. После выдержки образцы полутвердых, твердых и сверхтвердых плит извлекают из воды и укладывают каждый отдельно в горизонтальном положении между листами фильтровальной бумаги; при этом образцы складывают в пачки по 5 шт. для удаления воды с поверхности образцов. На каждую пачку кладут квадратную плиту (груз). Образцы выдерживают в таком положении 30 с, затем груз снимают и удаляют фильтровальную бумагу. 4.3.6. Образцы мягких плит после выдержки извлекают из воды и устанавливают на ребро для свободного стекания воды и осторожно промокают листами фильтровальной бумаги. 4.3.7. Образцы взвешивают вторично и измеряют их толщину в тех же точках не позднее чем через 10 мин после их извлечения из воды. Если процесс испытаний продолжается, то образцы не позднее чем через 10 мин снова погружают в воду. 4.4. Определение предела прочности при изгибе 4.4.1. После кондиционирования образцов определяют их ширину и толщину. 4.4.2. Ширину образца измеряют по его поперечной оси. 4.4.3. Толщину образца измеряют в центре пласти образца. (Измененная редакция, Изм. № 1). 4.4.4. Расстояние между центрами опор 20-25-кратной номинальной толщине для плит с номинальной толщиной менее 8 мм; 10-15-кратной номинальной толщине для плит с номинальной толщиной 8 мм и более. Коэффициент кратности должен соответствовать кратности, принятой для определения длины образца по п. 1.1. (Измененная редакция, Изм. № 1). 4.4.5. Образец укладывают на опоры испытательного устройства так, чтобы продольная ось образца была перпендикулярна к опорам, а поперечная ось параллельна оси ножа. Положение образца на опорах испытательного устройства указано на черт. 6.
Черт. 6 4.4.6. Испытания проводят на двух группах образцов, соответствующих продольному и поперечному направлениям плиты. В пределах каждой группы одну половину образцов испытывают, укладывая на опоры испытательного устройства сетчатой стороной вверх, а другую половину сетчатой стороной вниз. 4.4.7. Нагружение образца производят с постоянной скоростью до разрушения и регистрируют максимальную нагрузку с погрешностью до 1 %. Время от начала нагружения до разрушения образца должно составлять (60±20) с. (Измененная редакция, Изм. № 1). 4.5. Определение коэффициента теплопроводности мягких плит 4.5.1. Коэффициент теплопроводности мягких плит определяют по ГОСТ 7076-78. 4.5.2. (Исключен, Изм. № 1). 4.6. Контроль размеров и формы плит осуществляют по ГОСТ 27680-88. (Введен дополнительно, Изм. № 1). 4.7. Предел прочности при растяжении перпендикулярно к пласти плиты определяют по ГОСТ 26988-86. (Введен дополнительно, Изм. № 1). 4.8. Определение водопоглощения лицевой поверхностью (Введен дополнительно, Изм. № 1). 4.8.1. После кондиционирования и взвешивания образцов производят гидроизоляцию их кромки оборотной пласти. Гидроизоляцию осуществляют погружением образцов в расплавленный парафин по ГОСТ 23683-79 при температуре (85±5)°С кромками и оборотной пластью. При нанесении парафина на кромки образец погружают каждой кромкой в парафин на глубину 3 мм. (Введен дополнительно, Изм. № 1). 4.8.2. После остывания парафина образцы повторно взвешивают. (Введен дополнительно, Изм. № 1). 4.8.3. Образцы выдерживают в воде в течение 24 ч ±15 мин в соответствии с требованиями пп. 4.3.2, 4.3.3. (Введен дополнительно, Изм. № 1). 4.8.4. После извлечения из воды образцы устанавливают на ребро для свободного стекания воды, фильтровальной бумагой удаляют капли и не позднее чем через 10 мин взвешивают. (Введен дополнительно, Изм. № 1). 5. Обработка результатов 5.1. Влажность образца
(Измененная редакция, Изм. № 1). 5.2. Плотность образца
(Измененная редакция, Изм. № 1). 5.3. Водопоглощение образца
5.3.1. Набухание по толщине образца
(Измененная редакция, Изм. № 1). 5.3.2. (Исключен, Изм. № 1). 5.4. Предел прочности при изгибе образца
(Измененная редакция, Изм. № 1). 5.4.1. Предел прочности при изгибе для каждого образца вычисляют с округлением до 0,5 МПа для полутвердых, твердых и сверхтвердых плит и с округлением до 0,1 МПа для мягких плит. (Измененная редакция, Изм. № 1). 5.4.2. (Исключен, Изм. № 1). 5.5. Водопоглощение лицевой поверхностью
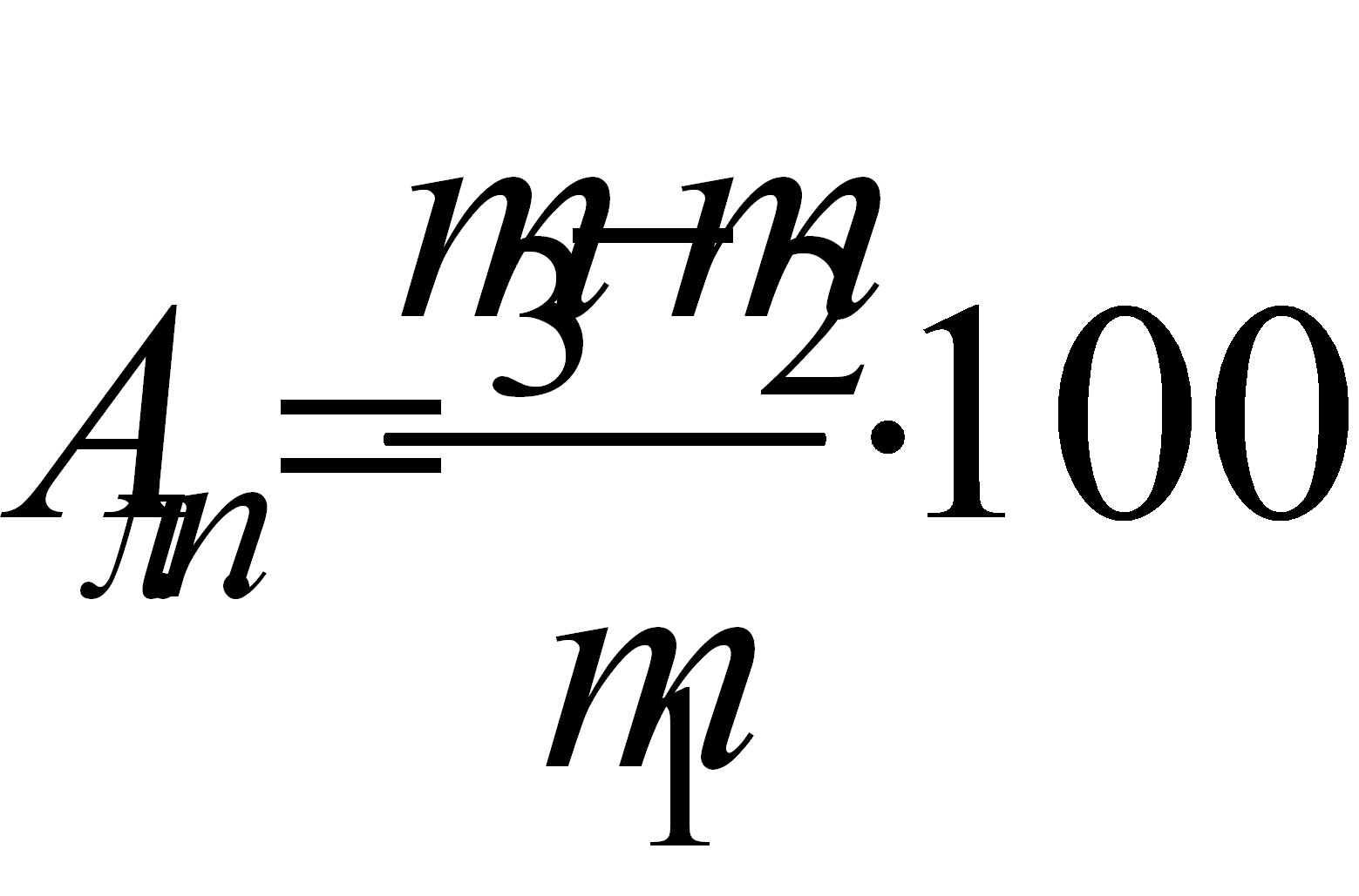
(Введен дополнительно, Изм. № 1). 5.6. Для определения величины показателей по плите определяют средние арифметические значения результатов испытаний всех образцов, отобранных из данной плиты, с округлением, указанным для расчета по отдельному образцу. (Введен дополнительно, Изм. № 1). 5.7. Результаты испытаний включают в протокол (журнал) испытаний. (Введен дополнительно, Изм. № 1). Категория: Сборники РДС дом жилой строительство ремонт квартир скачать ГостПоделитесь этой записью или добавьте в закладки |
| |||||||||||||||||||||||||||||||||||||||||||||||||||||||||||||||||||||||||||||||||||||||||




